C2Cl5Pr4
MatHub2d-1296-C2Cl5Pr4
| Property |
Value |
| Space group |
(47, 'Pmmm') |
| Crystal system |
rectangular |
| Magnetic |
No |
| Band gap (PBE) (eV) |
0.00 |
| Free energy (eV) |
-63.517 |
| Free energy / atom (eV) |
-5.774 |
Lattice Parameters (basic)
| a, b, c (Å): | 3.924 | 7.856 | 30.000 |
| α, β, γ (°): | 90.000 | 90.000 | 90.000 |
Lattice Parameters (computed)
| a, b, c (Å): | 3.907 | 7.982 | 30.000 |
| α, β, γ (°): | 90.000 | 90.000 | 90.000 |
| Property |
Value |
| Band gap |
0.00 eV |
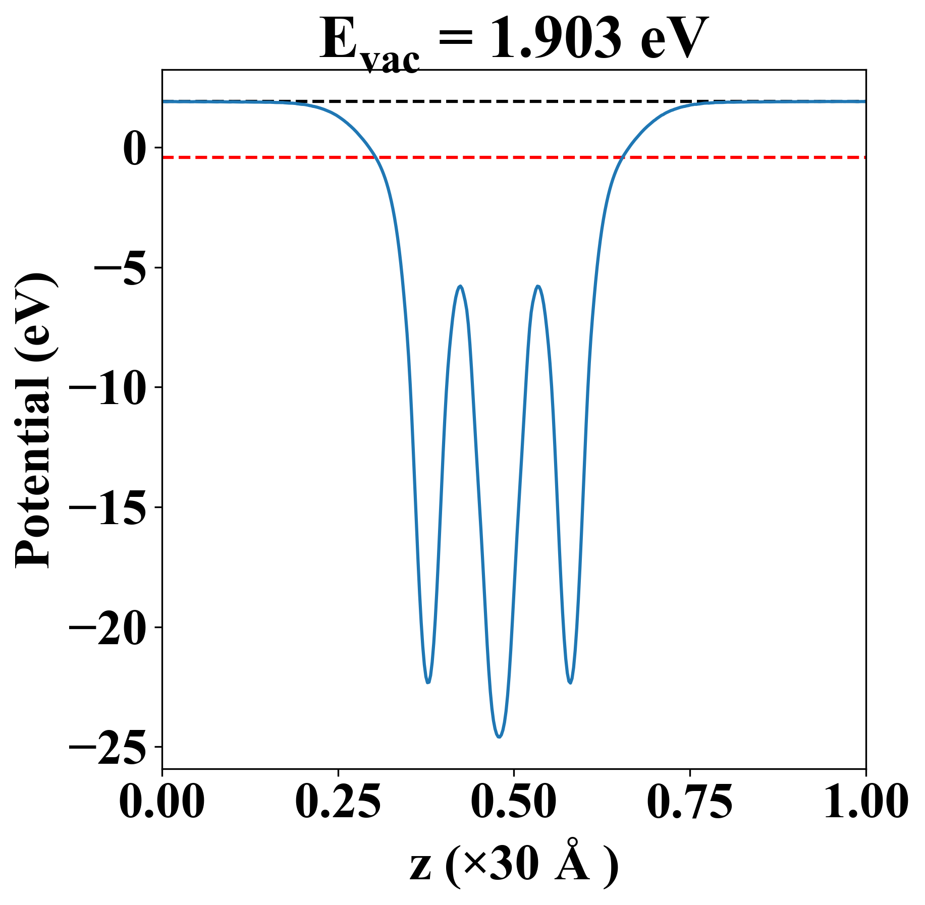
| E-fermi |
-0.424 eV |
| Vacuum level |
1.903 eV |
| VBM |
-0.425 eV |
| CBM |
-0.424 eV |
| Work function |
2.327 eV |
| Direct gap |
No |
| Property |
Value |
| Band gap |
0.00 eV |
| E-fermi |
-0.424 eV |
| Vacuum level |
1.903 eV |
| VBM |
-0.425 eV |
| CBM |
-0.424 eV |
| Work function |
2.327 eV |
| Cij (N/m) |
xx |
yy |
xy |
| xx |
60.167 |
5.773 |
-0.000 |
| yy |
5.773 |
69.842 |
-0.000 |
| xy |
-0.000 |
-0.000 |
23.745 |
| Phonon mode at Γ point (THz) |
| Property |
Value |
| from where |
JVASP-28077 |