C16Cl8Ge2H48N4
MatHub2d-1295-C16Cl8Ge2H48N4
| Property |
Value |
| Space group |
(4, 'P2_1') |
| Crystal system |
rectangular |
| Magnetic |
No |
| Band gap (PBE) (eV) |
3.15 |
| Free energy (eV) |
-394.412 |
| Free energy / atom (eV) |
-5.057 |
Lattice Parameters (basic)
| a, b, c (Å): | 7.561 | 7.597 | 30.000 |
| α, β, γ (°): | 90.000 | 90.000 | 90.000 |
Lattice Parameters (computed)
| a, b, c (Å): | 7.873 | 7.920 | 30.000 |
| α, β, γ (°): | 90.000 | 90.000 | 90.000 |
| Property |
Value |
| Band gap |
3.15 eV |
| E-fermi |
-2.635 eV |
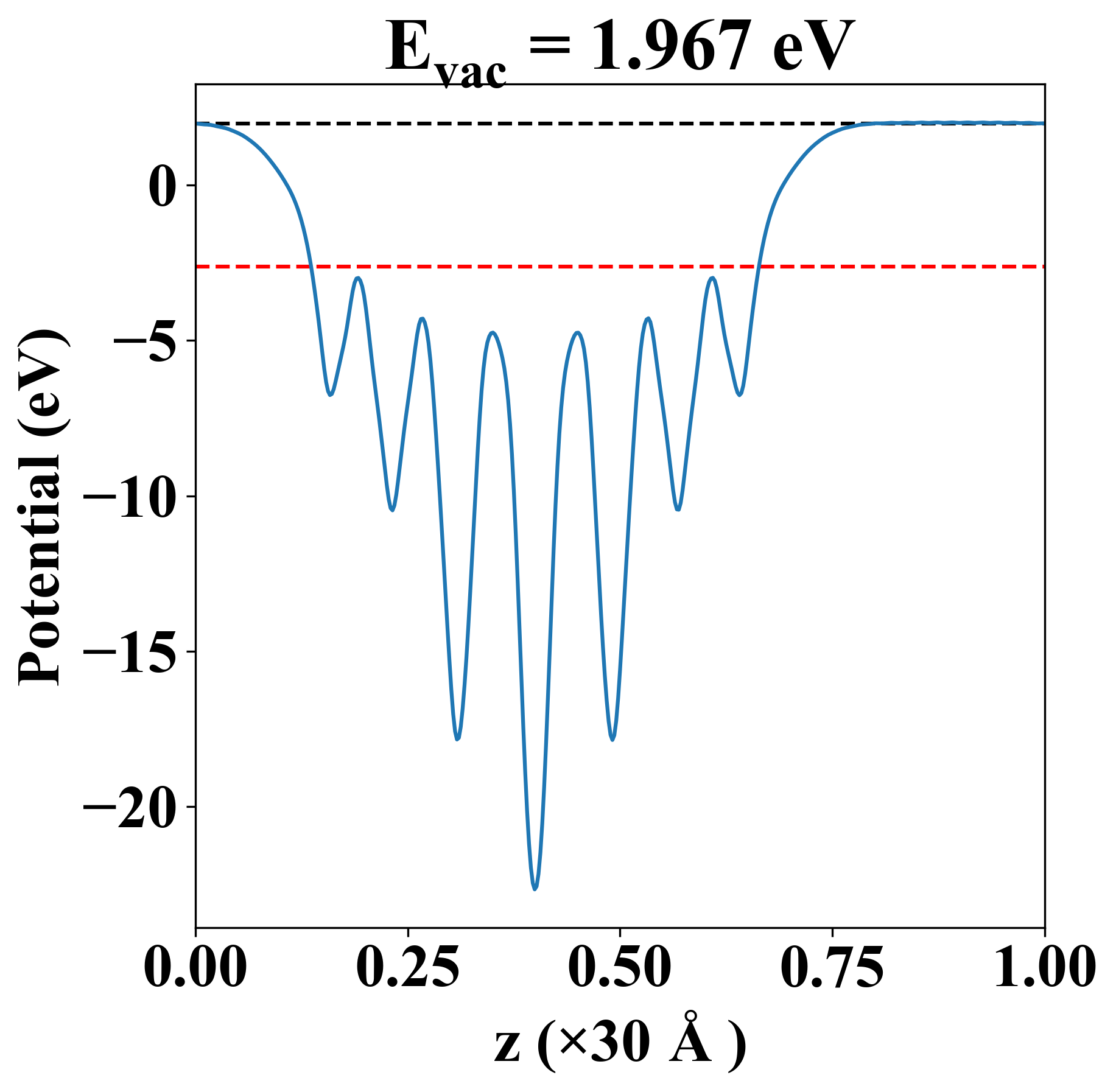
| Vacuum level |
1.967 eV |
| VBM |
-2.931 eV |
| CBM |
0.224 eV |
| Work function |
4.602 eV |
| Direct gap |
Yes |
| Property |
Value |
| Band gap |
3.15 eV |
| E-fermi |
-2.635 eV |
| Vacuum level |
1.967 eV |
| VBM |
-2.931 eV |
| CBM |
0.224 eV |
| Work function |
4.602 eV |
| Cij (N/m) |
xx |
yy |
xy |
| xx |
-9.501 |
5.757 |
0.000 |
| yy |
5.757 |
9.715 |
-0.000 |
| xy |
0.000 |
-0.000 |
5.207 |
| Phonon mode at Γ point (THz) |
| Property |
Value |
| from where |
c2db-1525 |