C16Cl4Ge2H48I4N4
MatHub2d-1294-C16Cl4Ge2H48I4N4
| Property |
Value |
| Space group |
(4, 'P2_1') |
| Crystal system |
rectangular |
| Magnetic |
No |
| Band gap (PBE) (eV) |
3.11 |
| Free energy (eV) |
-389.669 |
| Free energy / atom (eV) |
-4.996 |
Lattice Parameters (basic)
| a, b, c (Å): | 7.745 | 7.999 | 30.000 |
| α, β, γ (°): | 90.000 | 90.000 | 90.000 |
Lattice Parameters (computed)
| a, b, c (Å): | 8.232 | 8.469 | 30.000 |
| α, β, γ (°): | 90.000 | 90.000 | 90.000 |
| Property |
Value |
| Band gap |
3.11 eV |
| E-fermi |
-2.624 eV |
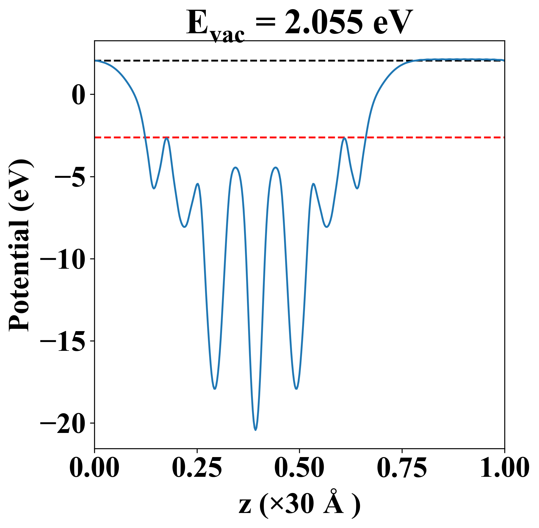
| Vacuum level |
2.055 eV |
| VBM |
-2.880 eV |
| CBM |
0.229 eV |
| Work function |
4.680 eV |
| Direct gap |
Yes |
| Property |
Value |
| Band gap |
3.11 eV |
| E-fermi |
-2.624 eV |
| Vacuum level |
2.055 eV |
| VBM |
-2.880 eV |
| CBM |
0.229 eV |
| Work function |
4.680 eV |
| Property |
Value |
| from where |
c2db-1523 |