Br6Sr1Th1
MatHub2d-1293-Br6Sr1Th1
| Property |
Value |
| Space group |
(25, 'Pmm2') |
| Crystal system |
rectangular |
| Magnetic |
No |
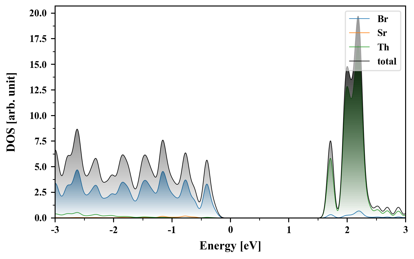
| Band gap (PBE) (eV) |
1.84 |
| Free energy (eV) |
-33.637 |
| Free energy / atom (eV) |
-4.205 |
Lattice Parameters (basic)
| a, b, c (Å): | 4.219 | 9.287 | 30.000 |
| α, β, γ (°): | 90.000 | 90.000 | 90.000 |
Lattice Parameters (computed)
| a, b, c (Å): | 4.261 | 9.400 | 30.000 |
| α, β, γ (°): | 90.000 | 90.000 | 90.000 |
| Property |
Value |
| Band gap |
1.84 eV |
| E-fermi |
-4.540 eV |
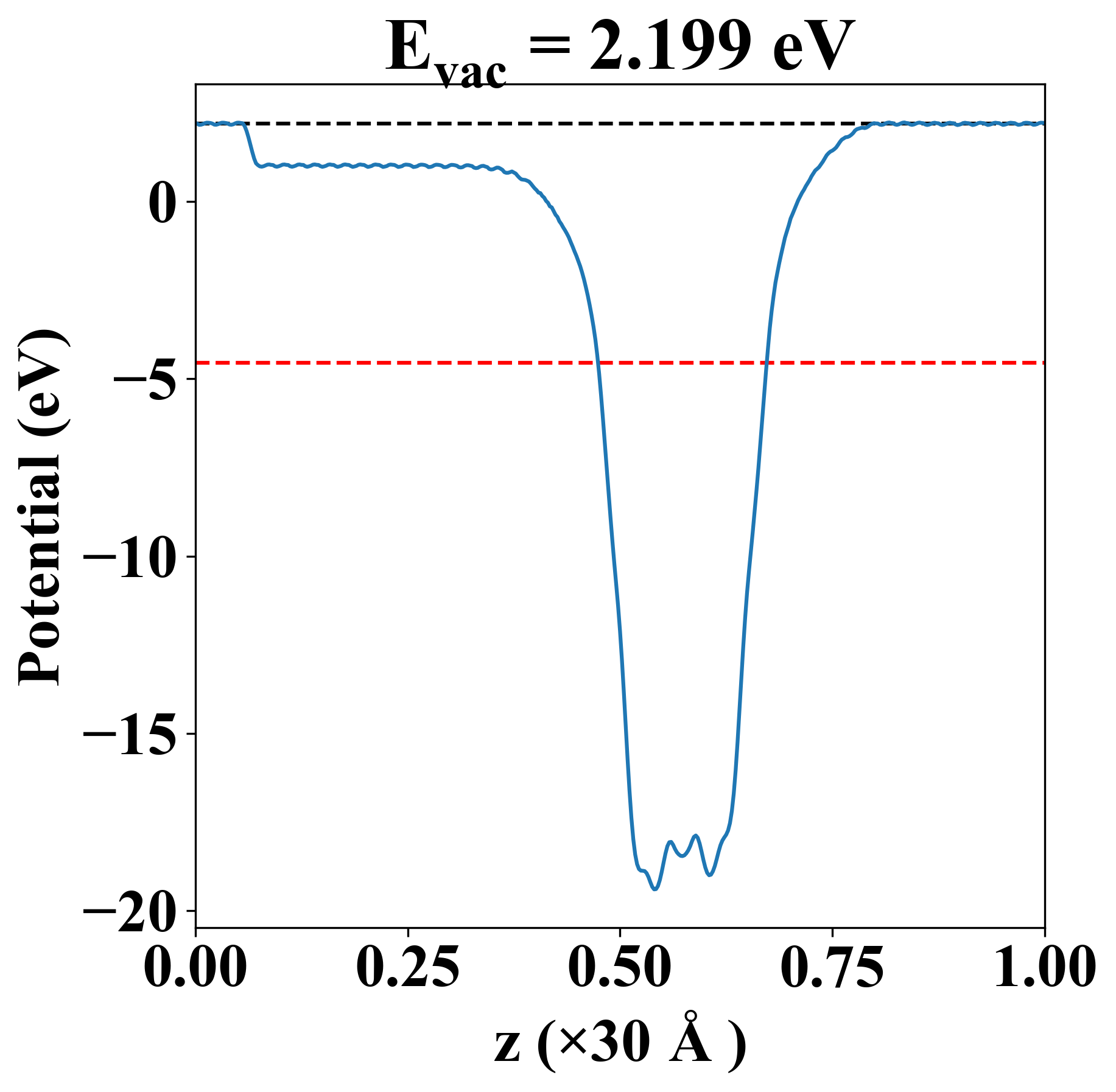
| Vacuum level |
2.199 eV |
| VBM |
-4.796 eV |
| CBM |
-2.957 eV |
| Work function |
6.739 eV |
| Direct gap |
No |
| Property |
Value |
| Band gap |
1.76 eV |
| E-fermi |
-4.572 eV |
| VBM |
-4.795 eV |
| CBM |
-3.037 eV |
| Free energy (eV) |
-35.242 |
| Free energy / atom (eV) |
-4.405 |
| Property |
Value |
| Band gap |
1.84 eV |
| E-fermi |
-4.540 eV |
| Vacuum level |
2.199 eV |
| VBM |
-4.796 eV |
| CBM |
-2.957 eV |
| Work function |
6.739 eV |
| Cij (N/m) |
xx |
yy |
xy |
| xx |
32.130 |
8.277 |
-0.000 |
| yy |
8.277 |
30.696 |
-0.000 |
| xy |
-0.000 |
-0.000 |
7.057 |
| Phonon mode at Γ point (THz) |
| Property |
Value |
| from where |
JVASP-6790 |