Br6Sm2
MatHub2d-1292-Br6Sm2
| Property |
Value |
| Space group |
(59, 'Pmmn') |
| Crystal system |
rectangular |
| Magnetic |
No |
| Band gap (PBE) (eV) |
3.04 |
| Free energy (eV) |
-34.281 |
| Free energy / atom (eV) |
-4.285 |
Lattice Parameters (basic)
| a, b, c (Å): | 4.016 | 9.135 | 30.000 |
| α, β, γ (°): | 90.000 | 90.000 | 90.000 |
Lattice Parameters (computed)
| a, b, c (Å): | 4.047 | 9.232 | 30.000 |
| α, β, γ (°): | 90.000 | 90.000 | 90.000 |
| Property |
Value |
| Band gap |
3.04 eV |
| E-fermi |
-4.841 eV |
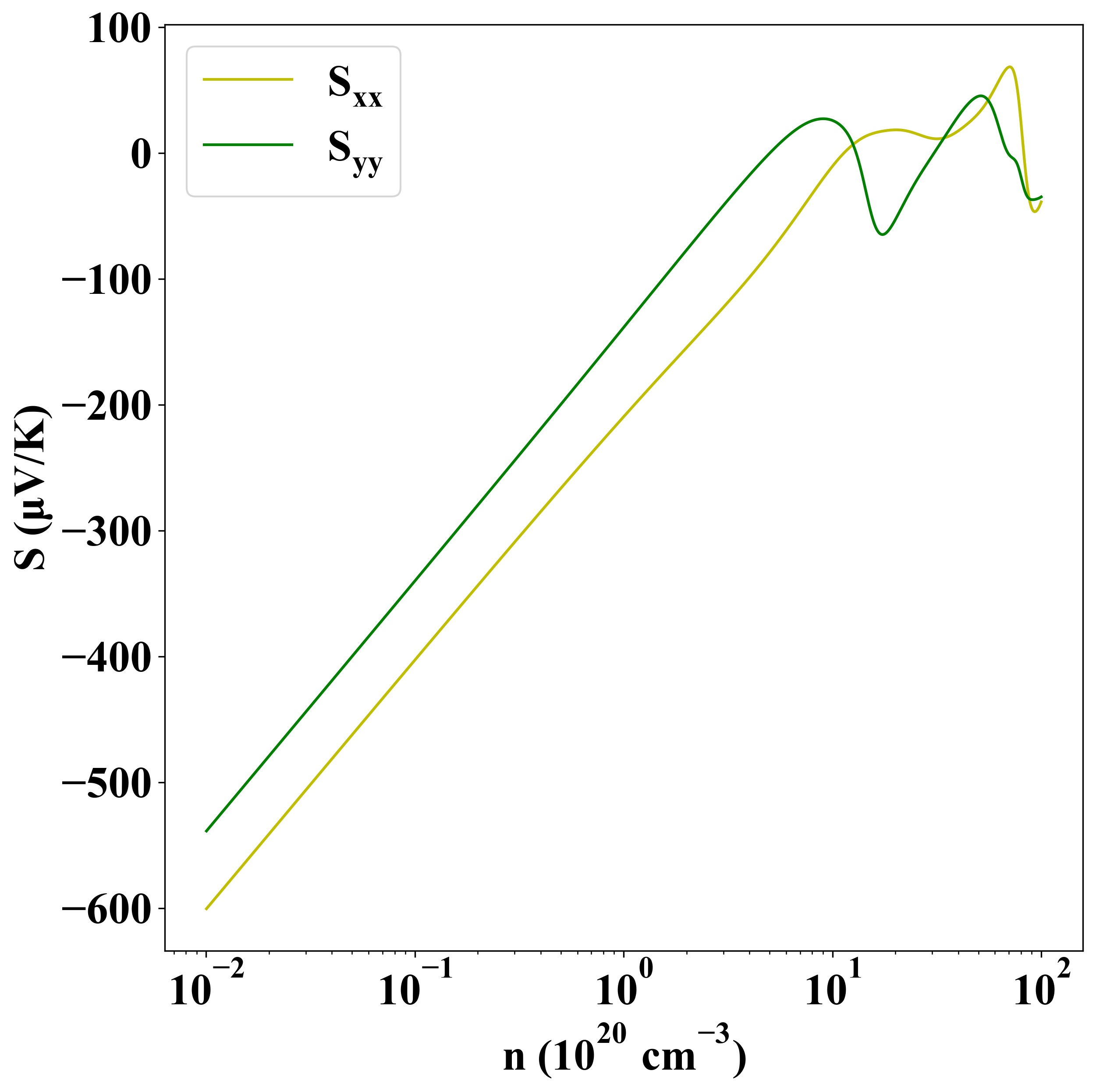
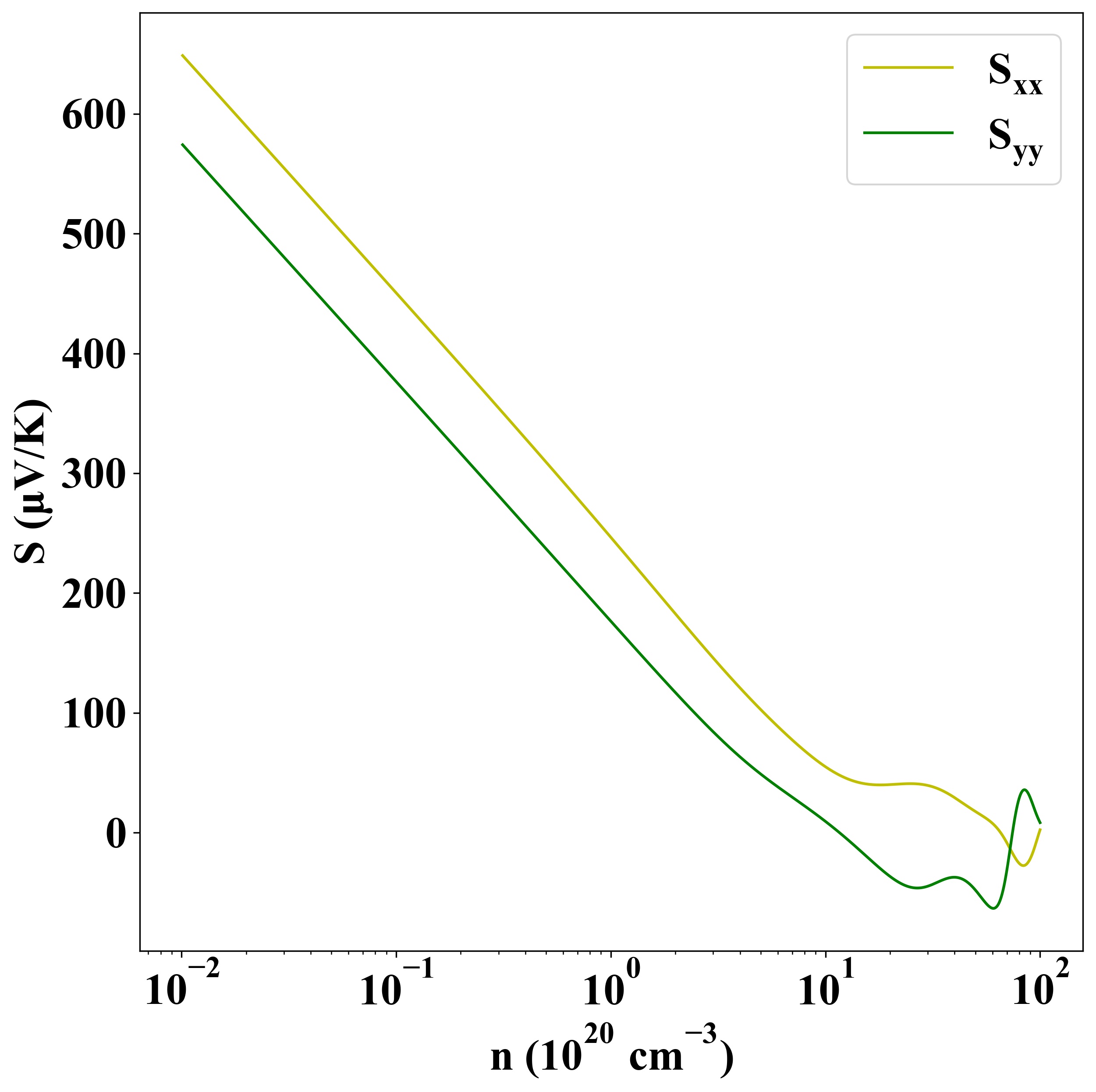
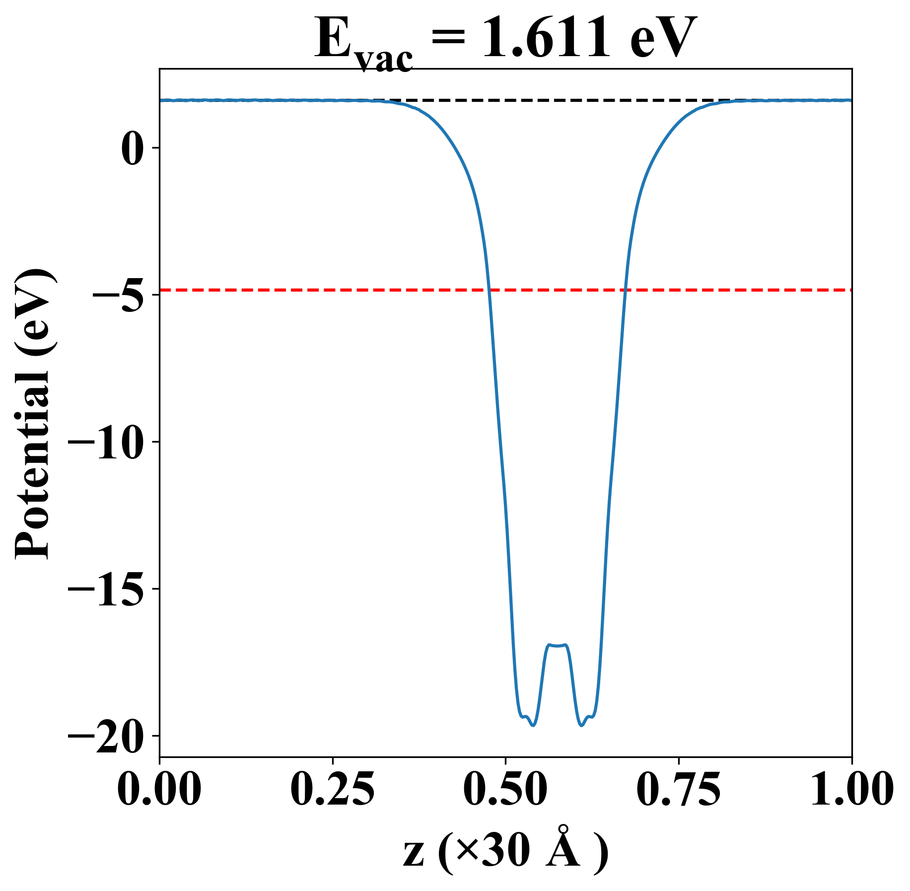
| Vacuum level |
1.611 eV |
| VBM |
-5.209 eV |
| CBM |
-2.174 eV |
| Work function |
6.452 eV |
| Direct gap |
Yes |
| Property |
Value |
| Band gap |
2.95 eV |
| E-fermi |
-4.773 eV |
| VBM |
-5.149 eV |
| CBM |
-2.198 eV |
| Free energy (eV) |
-35.034 |
| Free energy / atom (eV) |
-4.379 |
| Property |
Value |
| Band gap |
3.04 eV |
| E-fermi |
-4.841 eV |
| Vacuum level |
1.611 eV |
| VBM |
-5.209 eV |
| CBM |
-2.174 eV |
| Work function |
6.452 eV |
| Cij (N/m) |
xx |
yy |
xy |
| xx |
41.133 |
14.446 |
-0.000 |
| yy |
14.446 |
33.767 |
-0.000 |
| xy |
-0.000 |
-0.000 |
11.998 |
| Phonon mode at Γ point (THz) |
| Property |
Value |
| from where |
JVASP-13598 |