Br4Zr2
MatHub2d-1291-Br4Zr2
| Property |
Value |
| Space group |
(11, 'P2_1/m') |
| Crystal system |
rectangular |
| Magnetic |
No |
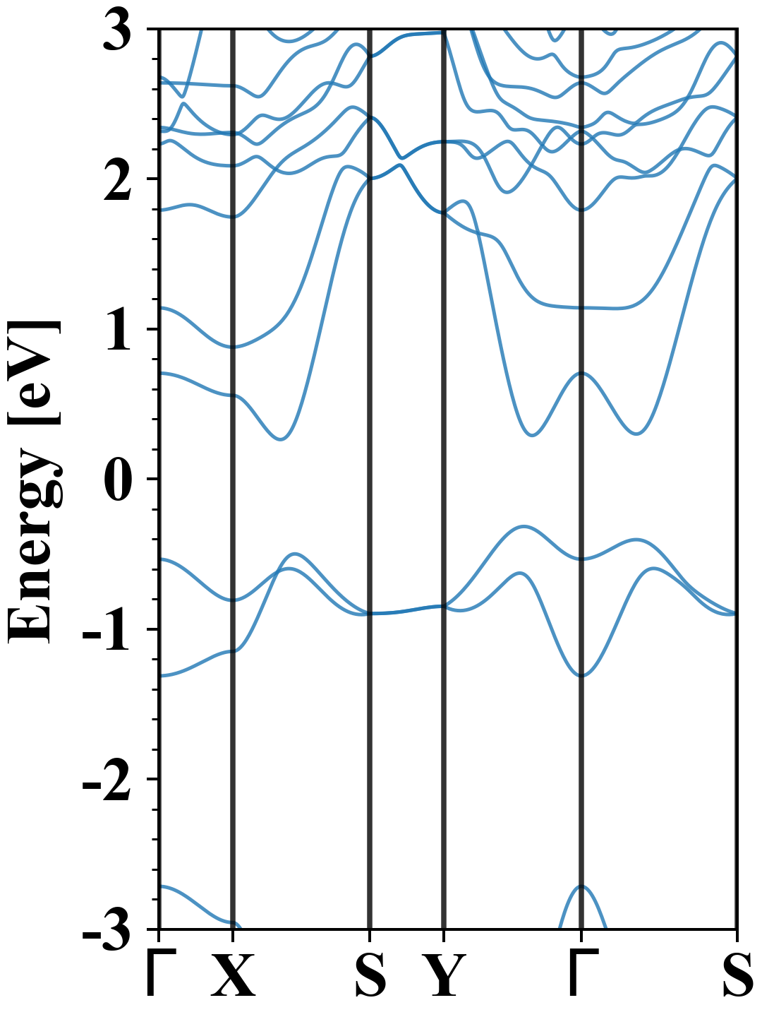
| Band gap (PBE) (eV) |
0.58 |
| Free energy (eV) |
-31.460 |
| Free energy / atom (eV) |
-5.243 |
Lattice Parameters (basic)
| a, b, c (Å): | 6.499 | 3.494 | 30.000 |
| α, β, γ (°): | 90.000 | 90.000 | 90.000 |
Lattice Parameters (computed)
| a, b, c (Å): | 6.510 | 3.500 | 30.000 |
| α, β, γ (°): | 90.000 | 90.000 | 90.000 |
| Property |
Value |
| Band gap |
0.58 eV |
| E-fermi |
-1.858 eV |
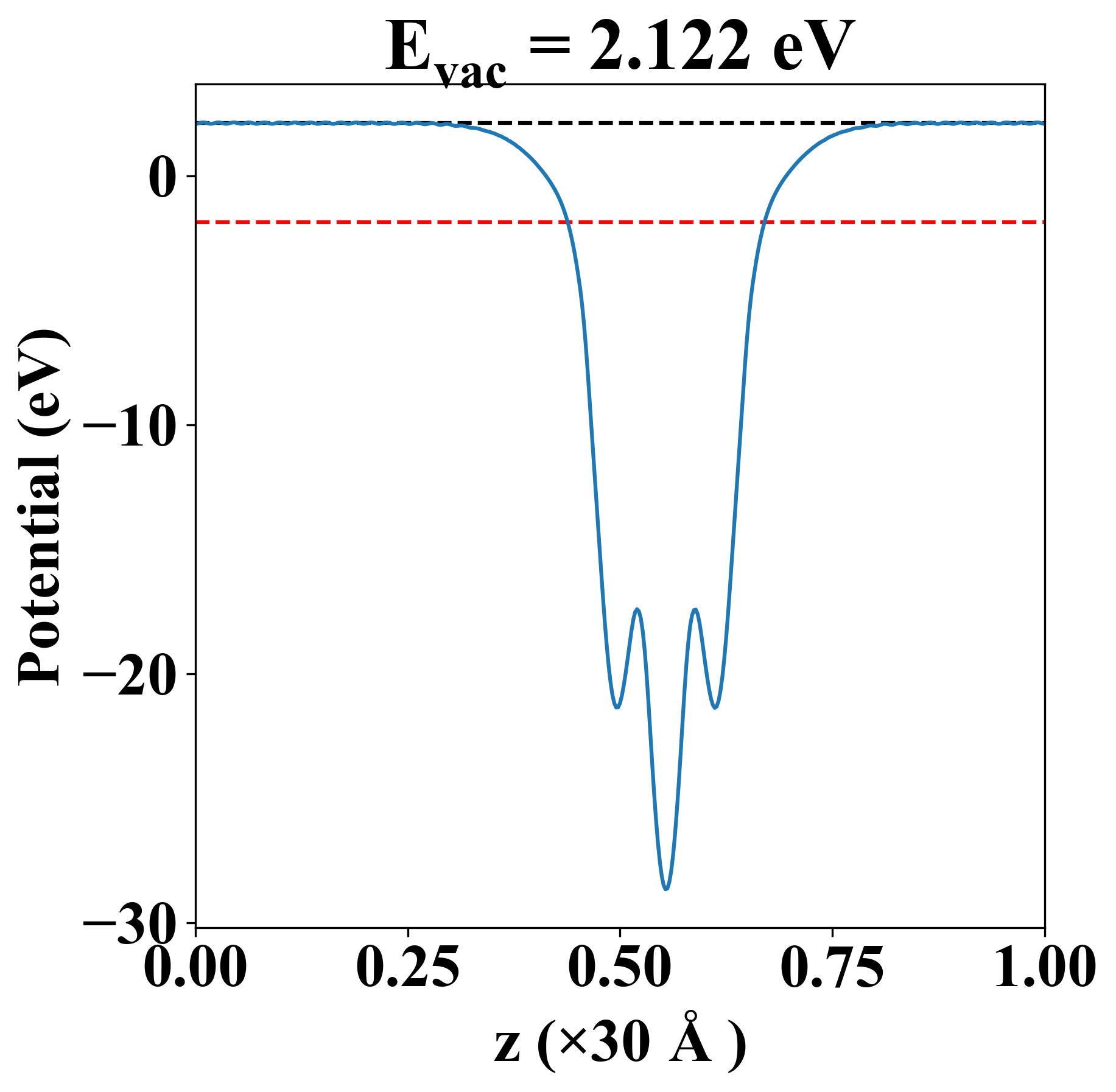
| Vacuum level |
2.122 eV |
| VBM |
-2.175 eV |
| CBM |
-1.595 eV |
| Work function |
3.980 eV |
| Direct gap |
No |
| Property |
Value |
| Band gap |
0.58 eV |
| E-fermi |
-1.869 eV |
| VBM |
-2.183 eV |
| CBM |
-1.608 eV |
| Free energy (eV) |
-31.708 |
| Free energy / atom (eV) |
-5.285 |
| Property |
Value |
| Band gap |
0.58 eV |
| E-fermi |
-1.858 eV |
| Vacuum level |
2.122 eV |
| VBM |
-2.175 eV |
| CBM |
-1.595 eV |
| Work function |
3.980 eV |
| Cij (N/m) |
xx |
yy |
xy |
| xx |
60.167 |
5.773 |
-0.000 |
| yy |
5.773 |
69.842 |
-0.000 |
| xy |
-0.000 |
-0.000 |
23.745 |
| Phonon mode at Γ point (THz) |
| Property |
Value |
| from where |
c2db-1958 |