Br4Y2
MatHub2d-1290-Br4Y2
| Property |
Value |
| Space group |
(11, 'P2_1/m') |
| Crystal system |
rectangular |
| Magnetic |
Yes |
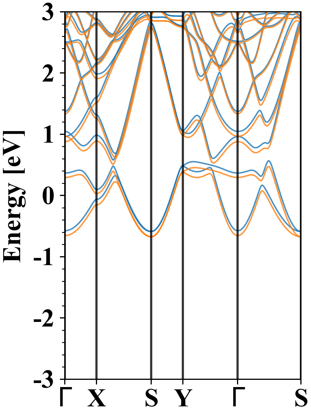
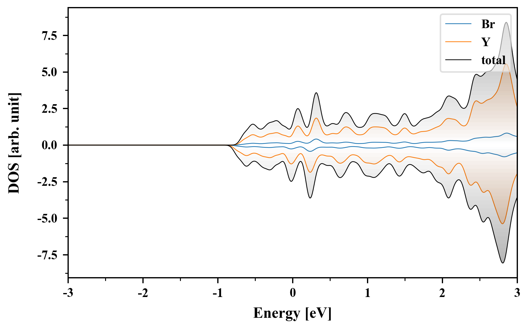
| Band gap (PBE) (eV) |
0.00 |
| Free energy (eV) |
-29.243 |
| Free energy / atom (eV) |
-4.874 |
Lattice Parameters (basic)
| a, b, c (Å): | 6.784 | 3.894 | 30.000 |
| α, β, γ (°): | 90.000 | 90.000 | 90.000 |
Lattice Parameters (computed)
| a, b, c (Å): | 6.728 | 3.907 | 30.000 |
| α, β, γ (°): | 90.000 | 90.000 | 90.000 |
| Property |
Value |
| Band gap |
0.00 eV |
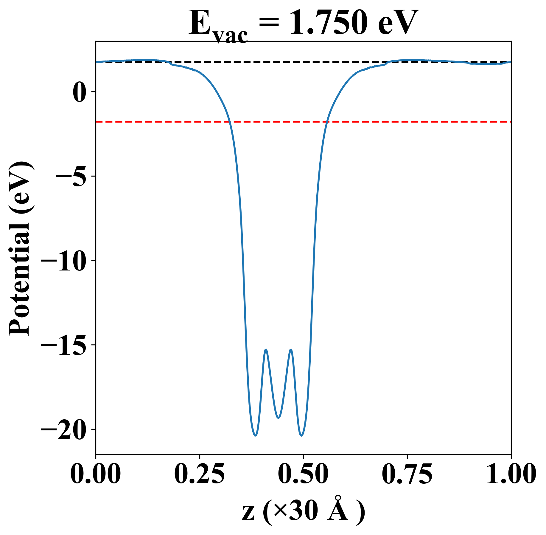
| E-fermi |
-1.787 eV |
| Vacuum level |
1.750 eV |
| VBM |
-1.789 eV |
| CBM |
-1.786 eV |
| Work function |
3.537 eV |
| Direct gap |
No |
| Property |
Value |
| Band gap |
0.00 eV |
| E-fermi |
-1.787 eV |
| Vacuum level |
1.750 eV |
| VBM |
-1.789 eV |
| CBM |
-1.786 eV |
| Work function |
3.537 eV |
| Cij (N/m) |
xx |
yy |
xy |
| xx |
-36.120 |
-4.376 |
0.000 |
| yy |
-4.376 |
25.664 |
0.000 |
| xy |
0.000 |
0.000 |
9.684 |
| Phonon mode at Γ point (THz) |
| Property |
Value |
| from where |
c2db-1955 |