Br4Ta2
MatHub2d-1289-Br4Ta2
| Property |
Value |
| Space group |
(11, 'P2_1/m') |
| Crystal system |
rectangular |
| Magnetic |
|
| Band gap (PBE) (eV) |
0.00 |
| Free energy (eV) |
-29.861 |
| Free energy / atom (eV) |
-4.977 |
Lattice Parameters (basic)
| a, b, c (Å): | 6.157 | 3.497 | 30.000 |
| α, β, γ (°): | 90.000 | 90.000 | 90.000 |
Lattice Parameters (computed)
| a, b, c (Å): | 6.177 | 3.502 | 30.000 |
| α, β, γ (°): | 90.000 | 90.000 | 90.000 |
| Property |
Value |
| Band gap |
0.00 eV |
| E-fermi |
-0.793 eV |
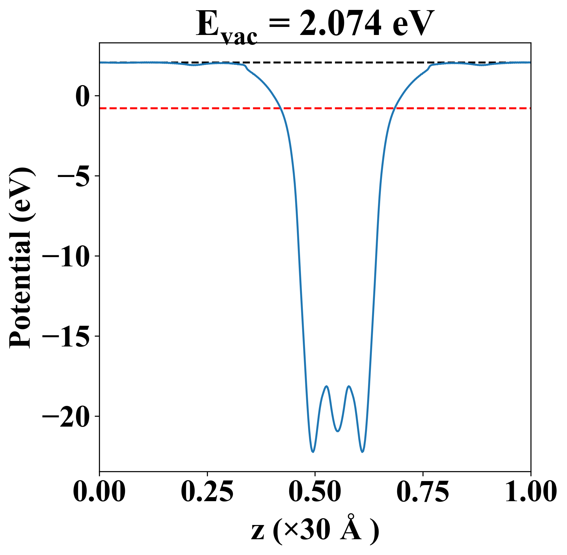
| Vacuum level |
2.074 eV |
| VBM |
-0.794 eV |
| CBM |
-0.793 eV |
| Work function |
2.867 eV |
| Direct gap |
No |
| Property |
Value |
| Band gap |
0.00 eV |
| E-fermi |
-0.793 eV |
| Vacuum level |
2.074 eV |
| VBM |
-0.794 eV |
| CBM |
-0.793 eV |
| Work function |
2.867 eV |
| Cij (N/m) |
xx |
yy |
xy |
| xx |
78.791 |
11.739 |
-0.000 |
| yy |
11.739 |
67.620 |
-0.000 |
| xy |
-0.000 |
-0.000 |
7.741 |
| Phonon mode at Γ point (THz) |
| -0.004 |
| -0.003 |
| -0.003 |
| 1.849 |
| 2.334 |
| 2.417 |
| 2.971 |
| 3.157 |
| 3.289 |
| 3.586 |
| 4.235 |
| 4.474 |
| 4.519 |
| 4.587 |
| 4.858 |
| 5.030 |
| 6.024 |
| 6.145 |
| Property |
Value |
| from where |
c2db-1934 |