Br4Sc2
MatHub2d-1288-Br4Sc2
| Property |
Value |
| Space group |
(11, 'P2_1/m') |
| Crystal system |
rectangular |
| Magnetic |
Yes |
| Band gap (PBE) (eV) |
0.00 |
| Free energy (eV) |
-25.654 |
| Free energy / atom (eV) |
-4.276 |
Lattice Parameters (basic)
| a, b, c (Å): | 6.513 | 3.760 | 30.000 |
| α, β, γ (°): | 90.000 | 90.000 | 90.000 |
Lattice Parameters (computed)
| a, b, c (Å): | 6.872 | 4.073 | 30.000 |
| α, β, γ (°): | 90.000 | 90.000 | 90.000 |
| Property |
Value |
| Band gap |
0.00 eV |
| E-fermi |
-1.862 eV |
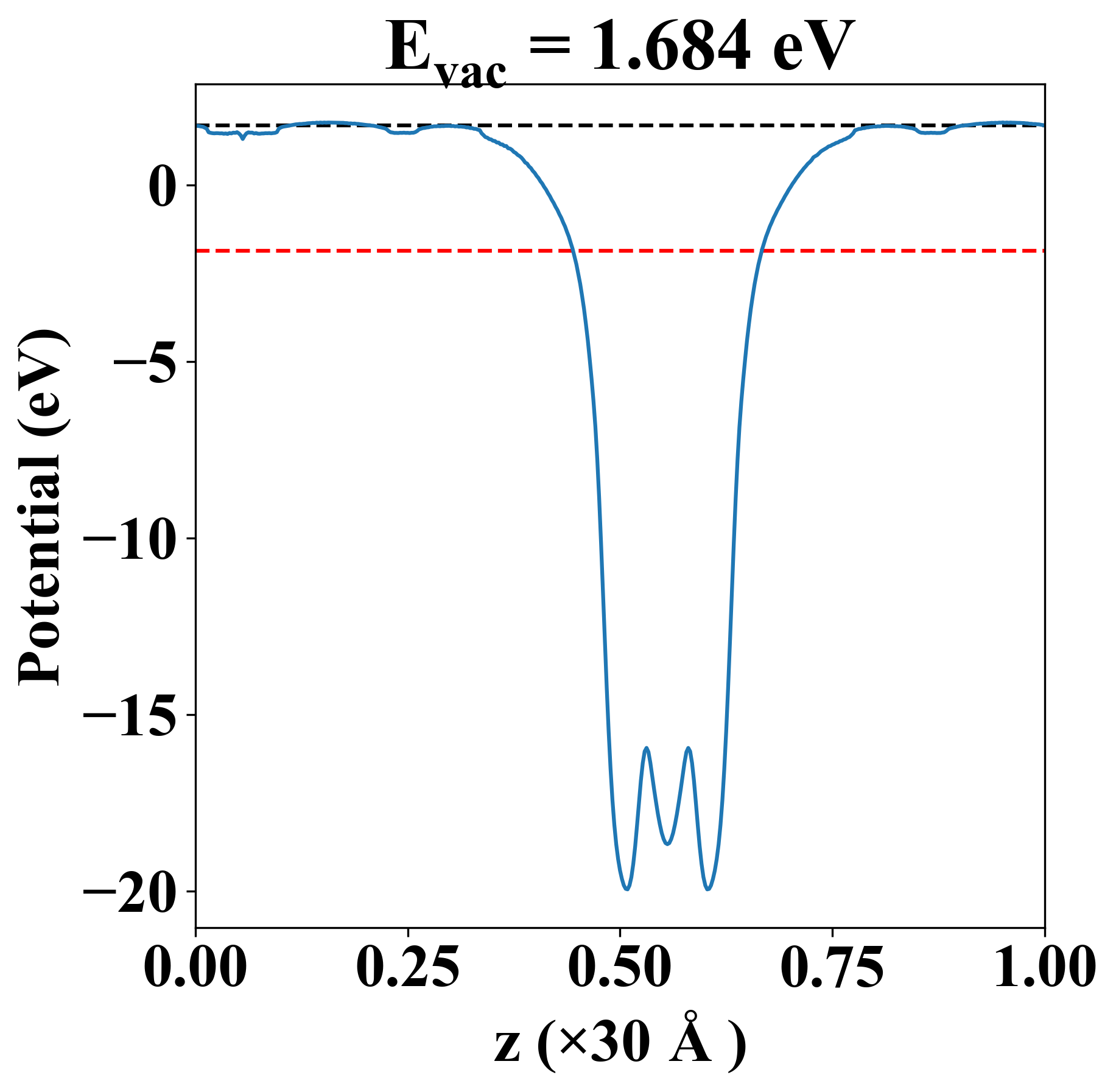
| Vacuum level |
1.684 eV |
| VBM |
-1.863 eV |
| CBM |
-1.861 eV |
| Work function |
3.547 eV |
| Direct gap |
No |
| Property |
Value |
| Band gap |
0.00 eV |
| E-fermi |
-1.862 eV |
| Vacuum level |
1.684 eV |
| VBM |
-1.863 eV |
| CBM |
-1.861 eV |
| Work function |
3.547 eV |
| Cij (N/m) |
xx |
yy |
xy |
| xx |
21.296 |
4.314 |
0.000 |
| yy |
4.314 |
21.045 |
0.000 |
| xy |
0.000 |
0.000 |
8.313 |
| Phonon mode at Γ point (THz) |
| Property |
Value |
| from where |
c2db-1926 |