Br4Re2
MatHub2d-1287-Br4Re2
| Property |
Value |
| Space group |
(11, 'P2_1/m') |
| Crystal system |
rectangular |
| Magnetic |
Yes |
| Band gap (PBE) (eV) |
0.86 |
| Free energy (eV) |
-23.984 |
| Free energy / atom (eV) |
-3.997 |
Lattice Parameters (basic)
| a, b, c (Å): | 5.605 | 3.885 | 30.000 |
| α, β, γ (°): | 90.000 | 90.000 | 90.000 |
Lattice Parameters (computed)
| a, b, c (Å): | 6.037 | 3.931 | 30.000 |
| α, β, γ (°): | 90.000 | 90.000 | 90.000 |
| Property |
Value |
| Band gap |
0.86 eV |
| E-fermi |
-2.094 eV |
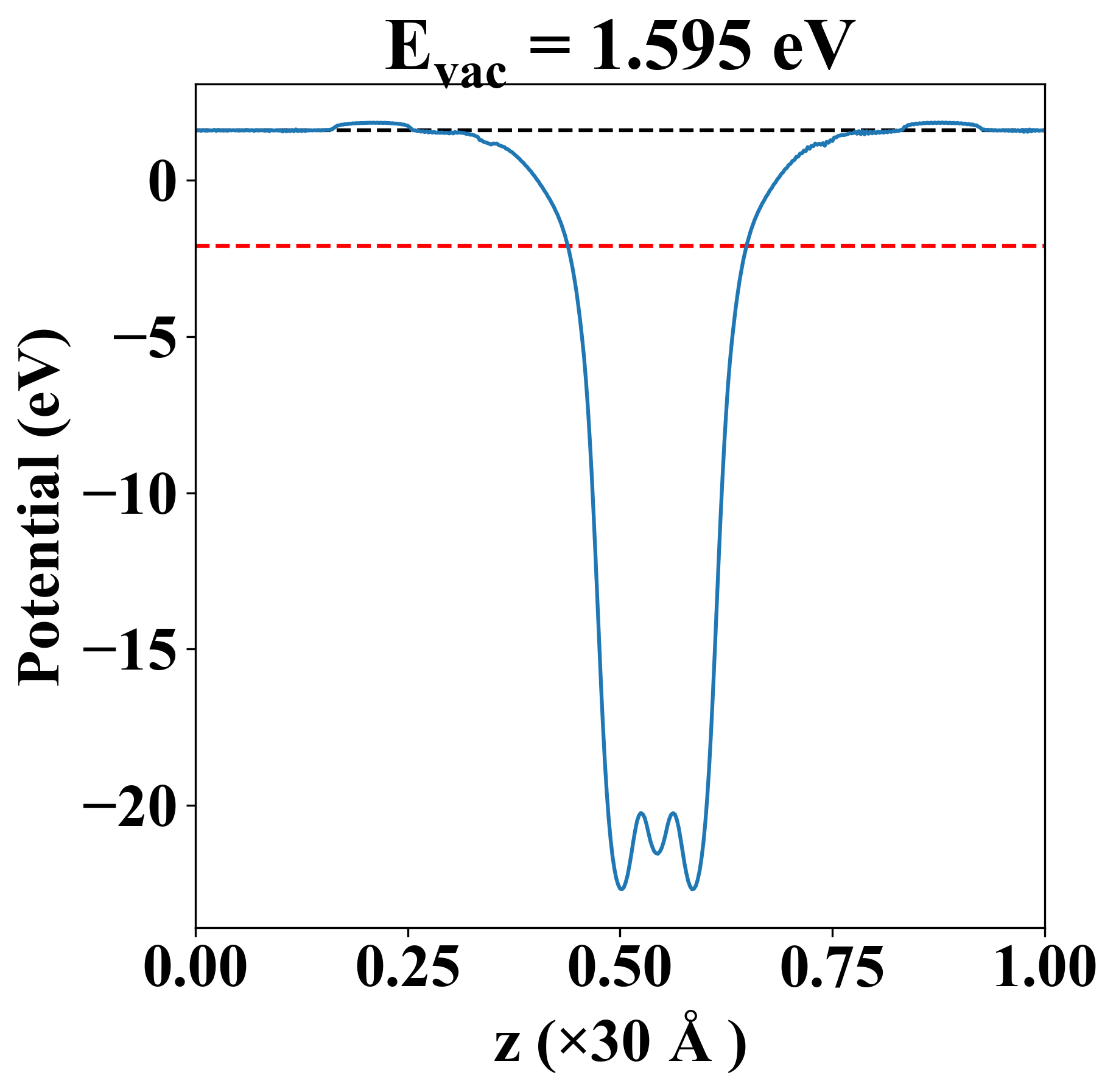
| Vacuum level |
1.595 eV |
| VBM |
-2.320 eV |
| CBM |
-1.463 eV |
| Work function |
3.688 eV |
| Direct gap |
Yes |
| Property |
Value |
| Band gap |
0.86 eV |
| E-fermi |
-2.094 eV |
| Vacuum level |
1.595 eV |
| VBM |
-2.320 eV |
| CBM |
-1.463 eV |
| Work function |
3.688 eV |
| Cij (N/m) |
xx |
yy |
xy |
| xx |
-12.219 |
-8.642 |
-0.000 |
| yy |
-8.642 |
69.596 |
0.000 |
| xy |
-0.000 |
0.000 |
-21.842 |
| Phonon mode at Γ point (THz) |
| -1.424 |
| -0.004 |
| -0.004 |
| -0.001 |
| 1.118 |
| 1.748 |
| 2.660 |
| 3.731 |
| 3.953 |
| 4.186 |
| 4.243 |
| 4.317 |
| 4.606 |
| 4.657 |
| 4.753 |
| 4.914 |
| 5.090 |
| 5.130 |
| Property |
Value |
| from where |
c2db-1906 |