Br4Pt2
MatHub2d-1286-Br4Pt2
| Property |
Value |
| Space group |
(11, 'P2_1/m') |
| Crystal system |
rectangular |
| Magnetic |
No |
| Band gap (PBE) (eV) |
0.24 |
| Free energy (eV) |
-14.893 |
| Free energy / atom (eV) |
-2.482 |
Lattice Parameters (basic)
| a, b, c (Å): | 6.374 | 4.768 | 30.000 |
| α, β, γ (°): | 90.000 | 90.000 | 90.000 |
Lattice Parameters (computed)
| a, b, c (Å): | 6.071 | 4.702 | 30.000 |
| α, β, γ (°): | 90.000 | 90.000 | 90.000 |
| Property |
Value |
| Band gap |
0.24 eV |
| E-fermi |
-4.699 eV |
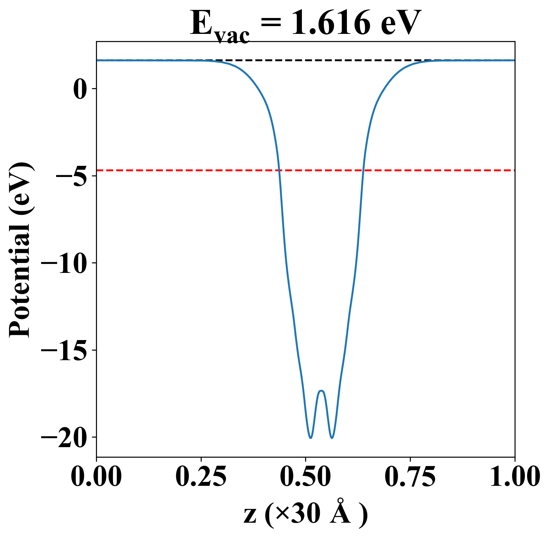
| Vacuum level |
1.616 eV |
| VBM |
-4.821 eV |
| CBM |
-4.579 eV |
| Work function |
6.314 eV |
| Direct gap |
No |
| Property |
Value |
| Band gap |
0.29 eV |
| E-fermi |
-4.633 eV |
| VBM |
-4.778 eV |
| CBM |
-4.489 eV |
| Free energy (eV) |
-15.701 |
| Free energy / atom (eV) |
-2.617 |
| Property |
Value |
| Band gap |
0.24 eV |
| E-fermi |
-4.699 eV |
| Vacuum level |
1.616 eV |
| VBM |
-4.821 eV |
| CBM |
-4.579 eV |
| Work function |
6.314 eV |
| Cij (N/m) |
xx |
yy |
xy |
| xx |
3.231 |
-0.130 |
-0.000 |
| yy |
-0.130 |
64.307 |
-0.000 |
| xy |
-0.000 |
-0.000 |
0.886 |
| Phonon mode at Γ point (THz) |
| -0.122 |
| -0.039 |
| -0.031 |
| 1.106 |
| 1.308 |
| 1.792 |
| 1.919 |
| 2.086 |
| 2.711 |
| 2.983 |
| 4.129 |
| 4.444 |
| 5.195 |
| 5.207 |
| 5.982 |
| 6.356 |
| 7.410 |
| 7.458 |
| Property |
Value |
| from where |
c2db-1903 |