Br4O2
MatHub2d-1285-Br4O2
| Property |
Value |
| Space group |
(4, 'P2_1') |
| Crystal system |
rectangular |
| Magnetic |
No |
| Band gap (PBE) (eV) |
1.77 |
| Free energy (eV) |
-15.287 |
| Free energy / atom (eV) |
-2.548 |
Lattice Parameters (basic)
| a, b, c (Å): | 3.906 | 7.476 | 30.000 |
| α, β, γ (°): | 90.000 | 90.000 | 90.000 |
Lattice Parameters (computed)
| a, b, c (Å): | 4.501 | 9.034 | 30.000 |
| α, β, γ (°): | 90.000 | 90.000 | 90.000 |
| Property |
Value |
| Band gap |
1.77 eV |
| E-fermi |
-5.286 eV |
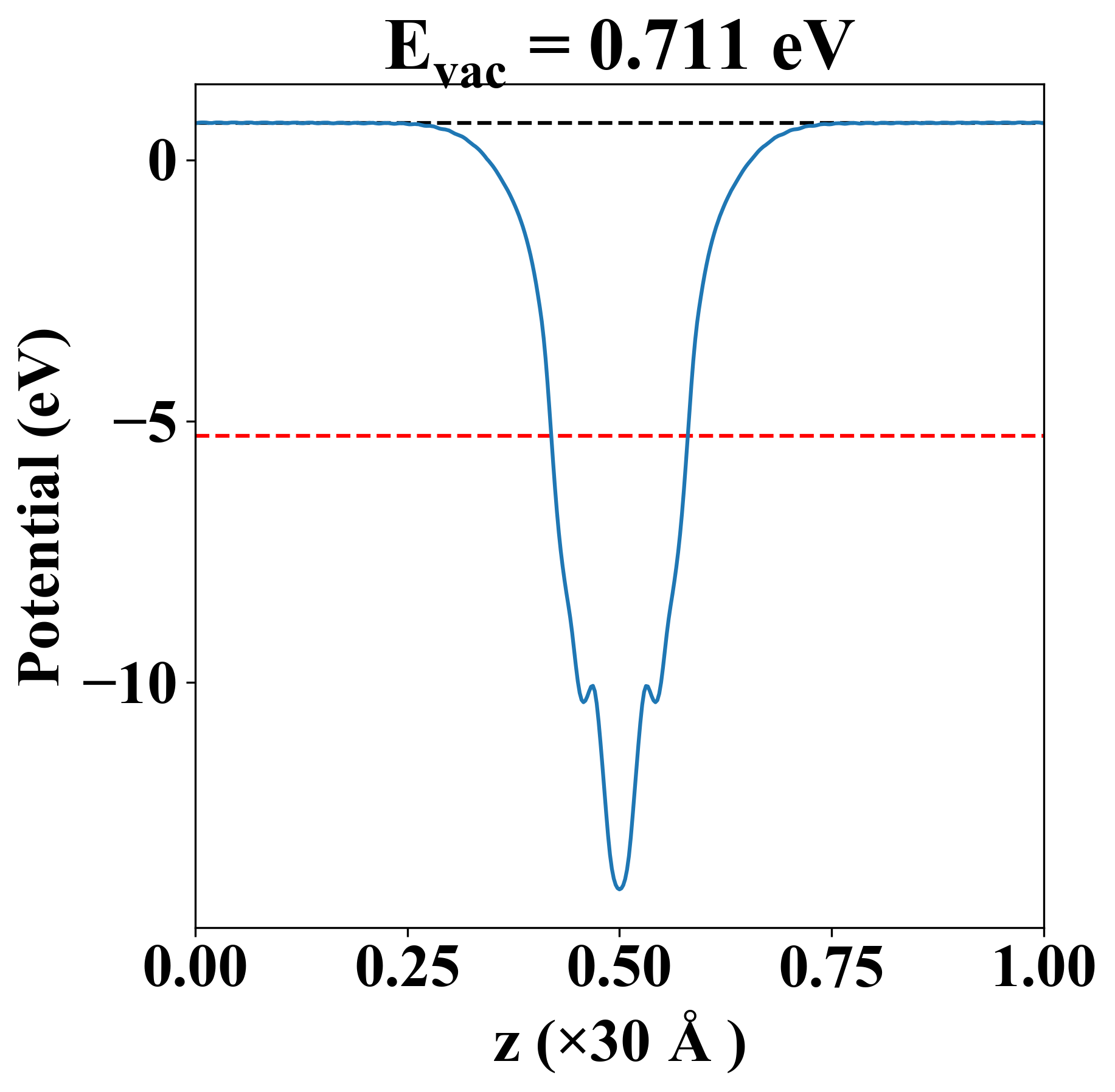
| Vacuum level |
0.711 eV |
| VBM |
-5.514 eV |
| CBM |
-3.739 eV |
| Work function |
5.997 eV |
| Direct gap |
No |
| Property |
Value |
| Band gap |
1.74 eV |
| E-fermi |
-5.224 eV |
| VBM |
-5.470 eV |
| CBM |
-3.733 eV |
| Free energy (eV) |
-15.430 |
| Free energy / atom (eV) |
-2.572 |
| Property |
Value |
| Band gap |
1.77 eV |
| E-fermi |
-5.286 eV |
| Vacuum level |
0.711 eV |
| VBM |
-5.514 eV |
| CBM |
-3.739 eV |
| Work function |
5.997 eV |
| Cij (N/m) |
xx |
yy |
xy |
| xx |
1.777 |
1.030 |
0.000 |
| yy |
1.030 |
-0.648 |
0.000 |
| xy |
0.000 |
0.000 |
0.156 |
| Phonon mode at Γ point (THz) |
| Property |
Value |
| from where |
JVASP-19552 |