Br4Mo2
MatHub2d-1283-Br4Mo2
| Property |
Value |
| Space group |
(11, 'P2_1/m') |
| Crystal system |
rectangular |
| Magnetic |
Yes |
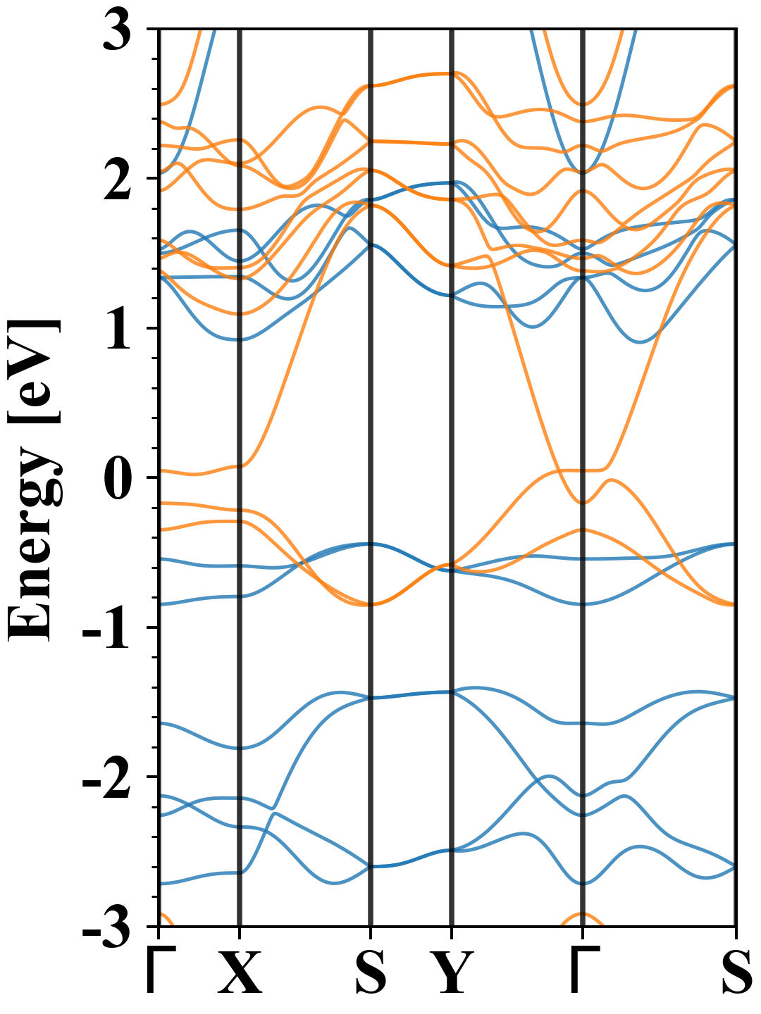
| Band gap (PBE) (eV) |
0.00 |
| Free energy (eV) |
-24.833 |
| Free energy / atom (eV) |
-4.139 |
Lattice Parameters (basic)
| a, b, c (Å): | 6.307 | 3.368 | 30.000 |
| α, β, γ (°): | 90.000 | 90.000 | 90.000 |
Lattice Parameters (computed)
| a, b, c (Å): | 6.115 | 3.789 | 30.000 |
| α, β, γ (°): | 90.000 | 90.000 | 90.000 |
| Property |
Value |
| Band gap |
0.00 eV |
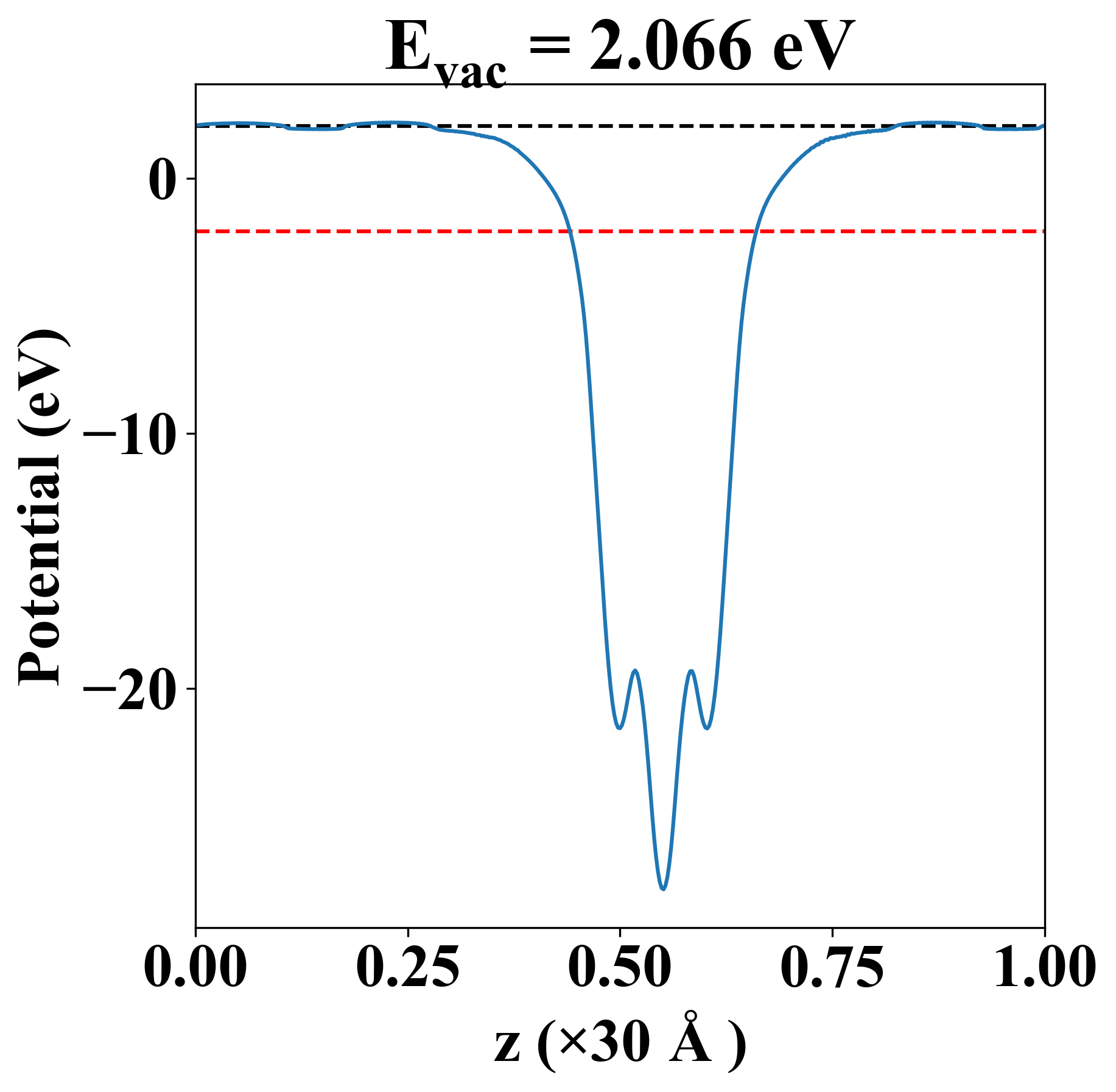
| E-fermi |
-2.081 eV |
| Vacuum level |
2.066 eV |
| VBM |
-2.081 eV |
| CBM |
-2.076 eV |
| Work function |
4.147 eV |
| Direct gap |
No |
| Property |
Value |
| Band gap |
0.00 eV |
| E-fermi |
-2.081 eV |
| Vacuum level |
2.066 eV |
| VBM |
-2.081 eV |
| CBM |
-2.076 eV |
| Work function |
4.147 eV |
| Cij (N/m) |
xx |
yy |
xy |
| xx |
6.240 |
-82.170 |
-0.000 |
| yy |
-82.170 |
-326.821 |
-0.000 |
| xy |
-0.000 |
-0.000 |
-2.761 |
| Phonon mode at Γ point (THz) |
| -0.006 |
| -0.003 |
| -0.001 |
| 0.989 |
| 1.583 |
| 2.694 |
| 2.873 |
| 3.174 |
| 3.212 |
| 3.593 |
| 3.762 |
| 3.847 |
| 3.948 |
| 4.239 |
| 4.465 |
| 4.811 |
| 4.930 |
| 5.351 |
| Property |
Value |
| from where |
c2db-1883 |