Br4Ir2
MatHub2d-1282-Br4Ir2
| Property |
Value |
| Space group |
(11, 'P2_1/m') |
| Crystal system |
rectangular |
| Magnetic |
Yes |
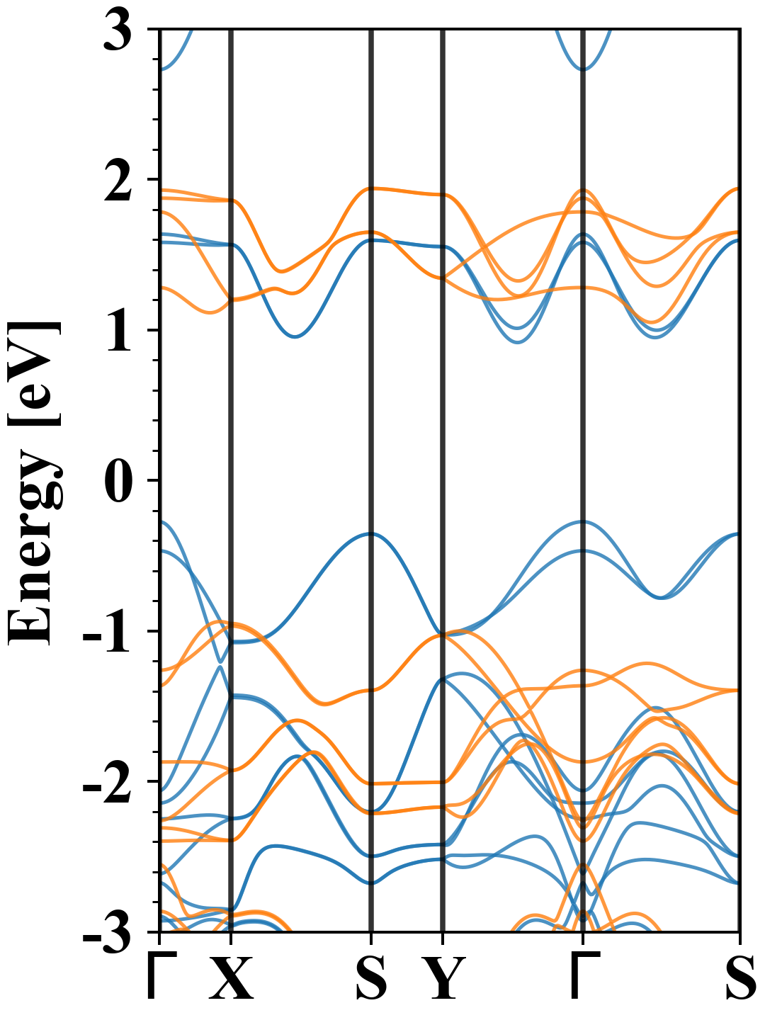
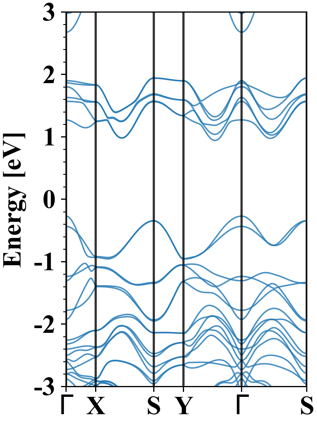
| Band gap (PBE) (eV) |
1.19 |
| Free energy (eV) |
-19.142 |
| Free energy / atom (eV) |
-3.190 |
Lattice Parameters (basic)
| a, b, c (Å): | 7.370 | 3.703 | 30.000 |
| α, β, γ (°): | 90.000 | 90.000 | 90.000 |
Lattice Parameters (computed)
| a, b, c (Å): | 7.216 | 3.705 | 30.000 |
| α, β, γ (°): | 90.000 | 90.000 | 90.000 |
| Property |
Value |
| Band gap |
1.19 eV |
| E-fermi |
-3.239 eV |
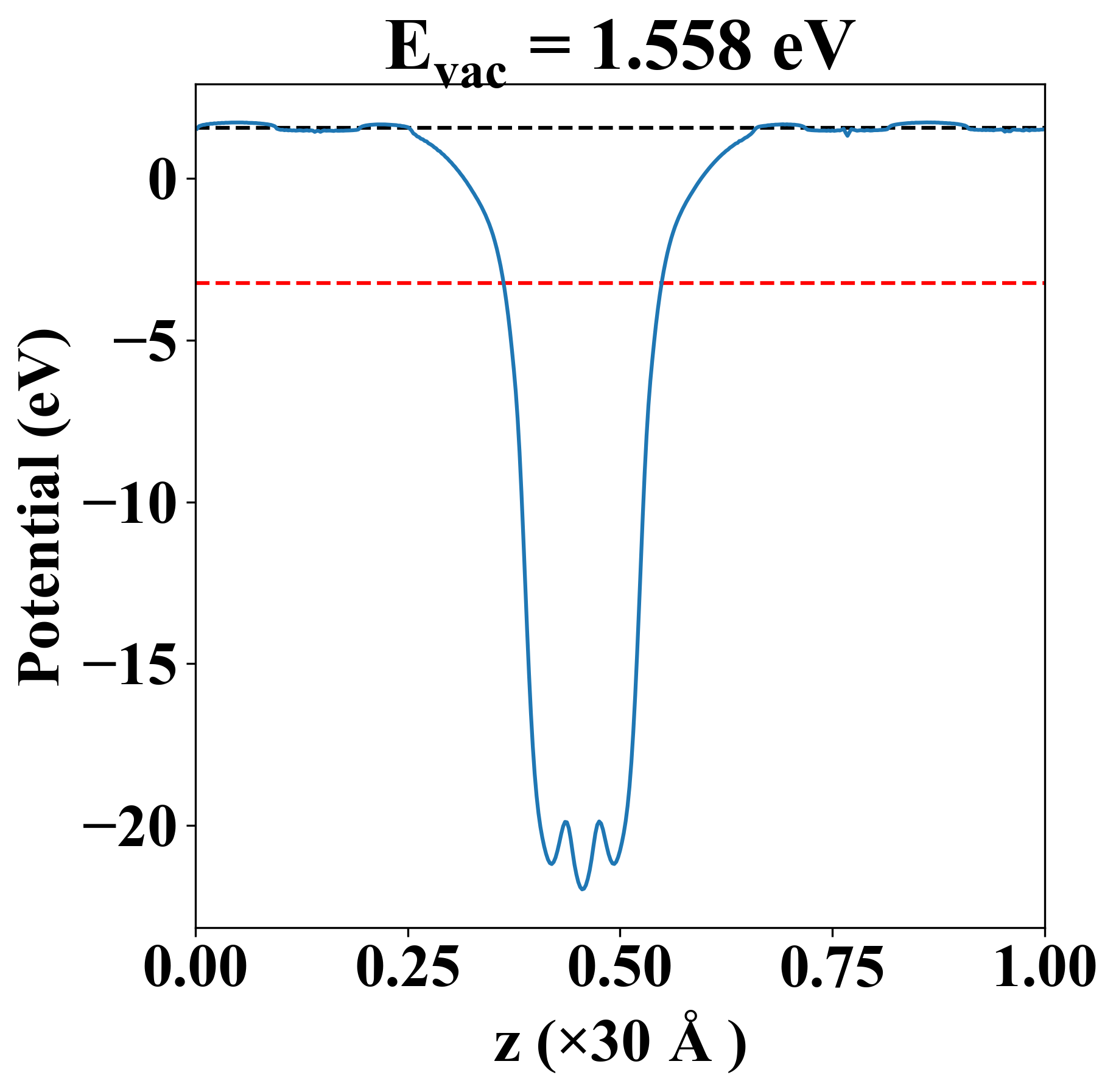
| Vacuum level |
1.558 eV |
| VBM |
-3.513 eV |
| CBM |
-2.323 eV |
| Work function |
4.797 eV |
| Direct gap |
No |
| Property |
Value |
| Band gap |
1.21 eV |
| E-fermi |
-3.224 eV |
| VBM |
-3.495 eV |
| CBM |
-2.281 eV |
| Free energy (eV) |
-20.177 |
| Free energy / atom (eV) |
-3.363 |
| Property |
Value |
| Band gap |
1.19 eV |
| E-fermi |
-3.239 eV |
| Vacuum level |
1.558 eV |
| VBM |
-3.513 eV |
| CBM |
-2.323 eV |
| Work function |
4.797 eV |
| Cij (N/m) |
xx |
yy |
xy |
| xx |
14.383 |
7.297 |
-0.000 |
| yy |
7.297 |
67.507 |
-0.000 |
| xy |
-0.000 |
-0.000 |
5.918 |
| Phonon mode at Γ point (THz) |
| Property |
Value |
| from where |
c2db-1865 |