Br4Hf2
MatHub2d-1281-Br4Hf2
| Property |
Value |
| Space group |
(11, 'P2_1/m') |
| Crystal system |
rectangular |
| Magnetic |
No |
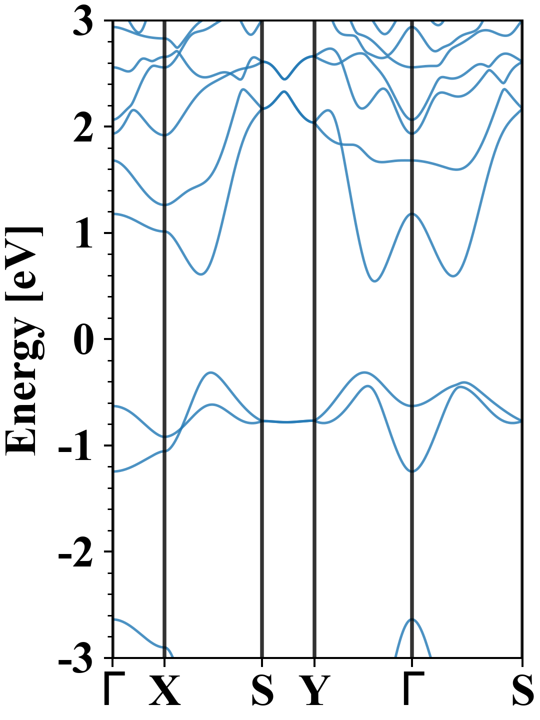
| Band gap (PBE) (eV) |
0.86 |
| Free energy (eV) |
-33.271 |
| Free energy / atom (eV) |
-5.545 |
Lattice Parameters (basic)
| a, b, c (Å): | 6.430 | 3.437 | 30.000 |
| α, β, γ (°): | 90.000 | 90.000 | 90.000 |
Lattice Parameters (computed)
| a, b, c (Å): | 6.417 | 3.432 | 30.000 |
| α, β, γ (°): | 90.000 | 90.000 | 90.000 |
| Property |
Value |
| Band gap |
0.86 eV |
| E-fermi |
-2.045 eV |
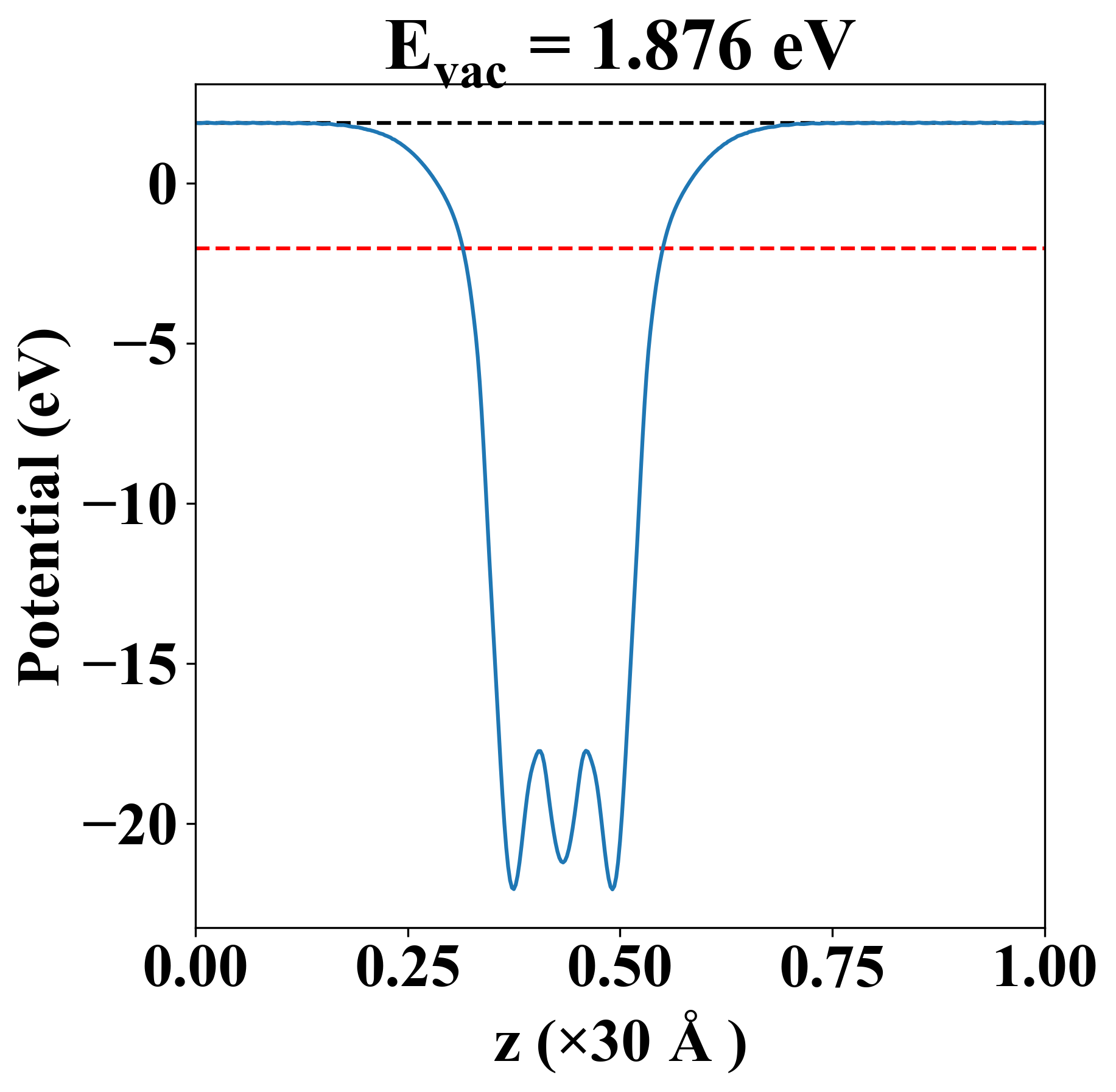
| Vacuum level |
1.876 eV |
| VBM |
-2.359 eV |
| CBM |
-1.501 eV |
| Work function |
3.921 eV |
| Direct gap |
No |
| Property |
Value |
| Band gap |
0.84 eV |
| E-fermi |
-2.111 eV |
| VBM |
-2.361 eV |
| CBM |
-1.523 eV |
| Free energy (eV) |
-34.736 |
| Free energy / atom (eV) |
-5.789 |
| Property |
Value |
| Band gap |
0.86 eV |
| E-fermi |
-2.045 eV |
| Vacuum level |
1.876 eV |
| VBM |
-2.359 eV |
| CBM |
-1.501 eV |
| Work function |
3.921 eV |
| Cij (N/m) |
xx |
yy |
xy |
| xx |
69.104 |
9.391 |
0.000 |
| yy |
9.391 |
83.807 |
-0.000 |
| xy |
0.000 |
-0.000 |
25.971 |
| Phonon mode at Γ point (THz) |
| -0.003 |
| -0.002 |
| -0.002 |
| 2.357 |
| 2.987 |
| 3.269 |
| 3.299 |
| 3.433 |
| 3.490 |
| 3.748 |
| 3.918 |
| 4.189 |
| 4.279 |
| 4.679 |
| 4.685 |
| 4.901 |
| 6.058 |
| 6.480 |
| Property |
Value |
| from where |
c2db-1856 |