Br4C16Ge2H48I4N4
MatHub2d-1280-Br4C16Ge2H48I4N4
| Property |
Value |
| Space group |
(4, 'P2_1') |
| Crystal system |
rectangular |
| Magnetic |
No |
| Band gap (PBE) (eV) |
2.43 |
| Free energy (eV) |
-387.482 |
| Free energy / atom (eV) |
-4.968 |
Lattice Parameters (basic)
| a, b, c (Å): | 7.970 | 8.079 | 30.000 |
| α, β, γ (°): | 90.000 | 90.000 | 90.000 |
Lattice Parameters (computed)
| a, b, c (Å): | 8.367 | 8.558 | 30.000 |
| α, β, γ (°): | 90.000 | 90.000 | 90.000 |
| Property |
Value |
| Band gap |
2.43 eV |
| E-fermi |
-2.526 eV |
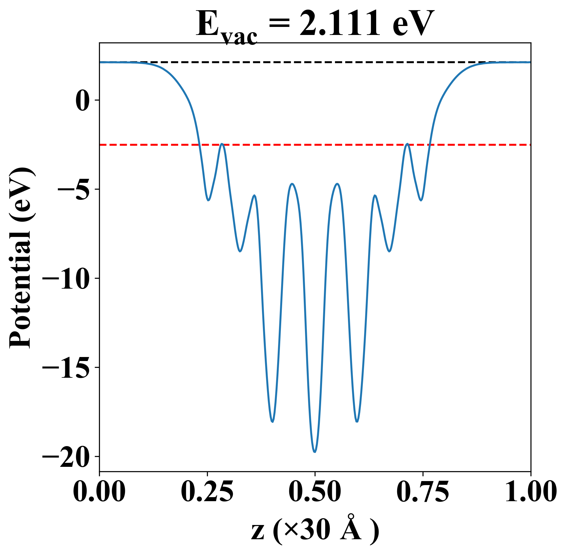
| Vacuum level |
2.111 eV |
| VBM |
-2.841 eV |
| CBM |
-0.408 eV |
| Work function |
4.637 eV |
| Direct gap |
Yes |
| Property |
Value |
| Band gap |
2.43 eV |
| E-fermi |
-2.526 eV |
| Vacuum level |
2.111 eV |
| VBM |
-2.841 eV |
| CBM |
-0.408 eV |
| Work function |
4.637 eV |
| Cij (N/m) |
xx |
yy |
xy |
| xx |
7.039 |
14.970 |
0.000 |
| yy |
14.970 |
32.260 |
0.000 |
| xy |
0.000 |
0.000 |
1.747 |
| Phonon mode at Γ point (THz) |
| Property |
Value |
| from where |
c2db-1520 |