Br2Se2Zr2
MatHub2d-1279-Br2Se2Zr2
| Property |
Value |
| Space group |
(59, 'Pmmn') |
| Crystal system |
rectangular |
| Magnetic |
No |
| Band gap (PBE) (eV) |
0.00 |
| Free energy (eV) |
-35.759 |
| Free energy / atom (eV) |
-5.960 |
Lattice Parameters (basic)
| a, b, c (Å): | 3.750 | 5.311 | 30.000 |
| α, β, γ (°): | 90.000 | 90.000 | 90.000 |
Lattice Parameters (computed)
| a, b, c (Å): | 3.745 | 5.310 | 30.000 |
| α, β, γ (°): | 90.000 | 90.000 | 90.000 |
| Property |
Value |
| Band gap |
0.00 eV |
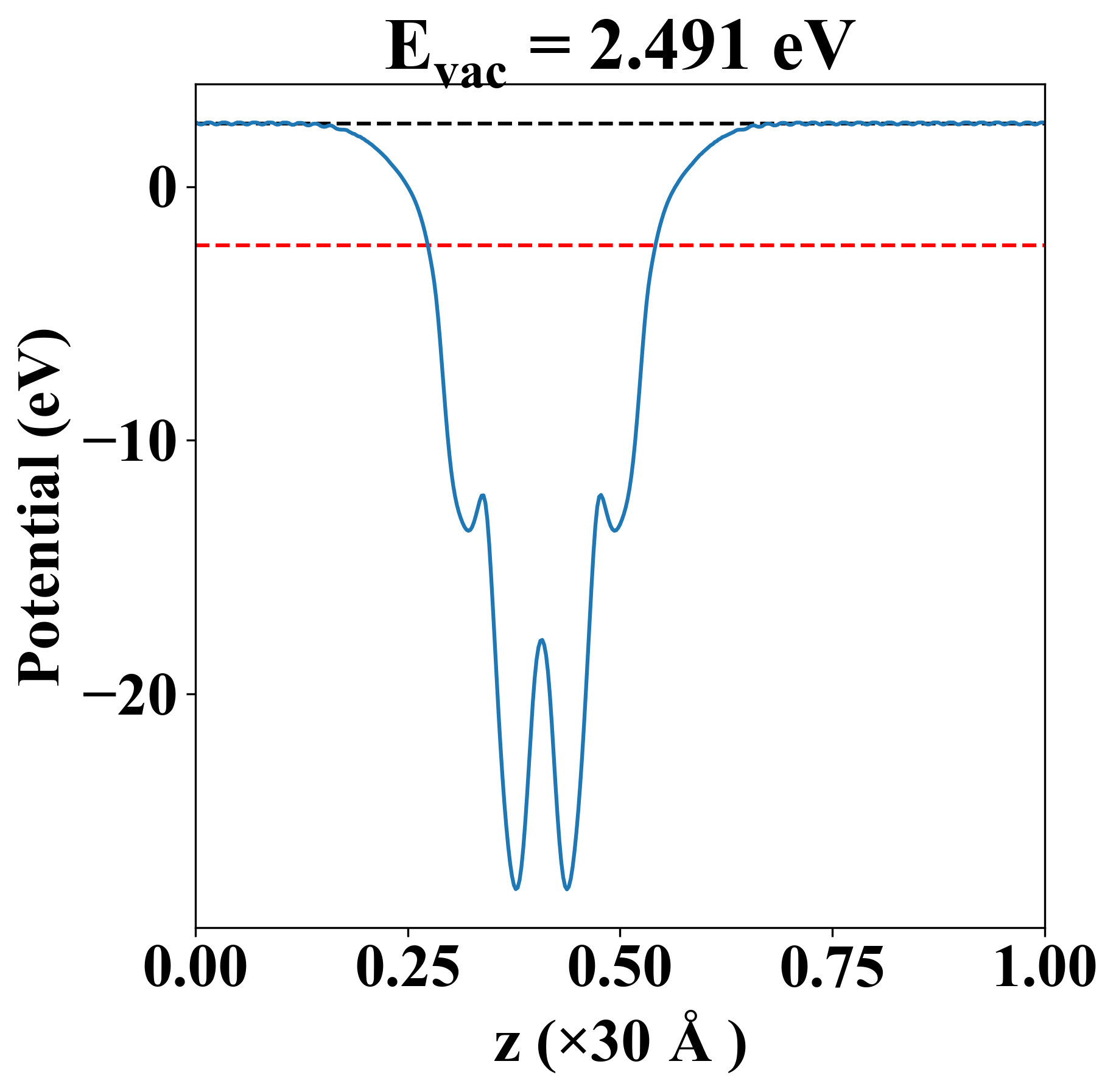
| E-fermi |
-2.309 eV |
| Vacuum level |
2.491 eV |
| VBM |
-2.310 eV |
| CBM |
-2.308 eV |
| Work function |
4.799 eV |
| Direct gap |
No |
| Property |
Value |
| Band gap |
0.00 eV |
| E-fermi |
-2.309 eV |
| Vacuum level |
2.491 eV |
| VBM |
-2.310 eV |
| CBM |
-2.308 eV |
| Work function |
4.799 eV |
| Property |
Value |
| from where |
c2db-436 |