Br2Se2W2
MatHub2d-1278-Br2Se2W2
| Property |
Value |
| Space group |
(59, 'Pmmn') |
| Crystal system |
rectangular |
| Magnetic |
Yes |
| Band gap (PBE) (eV) |
0.00 |
| Free energy (eV) |
-32.369 |
| Free energy / atom (eV) |
-5.395 |
Lattice Parameters (basic)
| a, b, c (Å): | 3.227 | 4.884 | 30.000 |
| α, β, γ (°): | 90.000 | 90.000 | 90.000 |
Lattice Parameters (computed)
| a, b, c (Å): | 3.484 | 5.229 | 30.000 |
| α, β, γ (°): | 90.000 | 90.000 | 90.000 |
| Property |
Value |
| Band gap |
0.00 eV |
| E-fermi |
-2.471 eV |
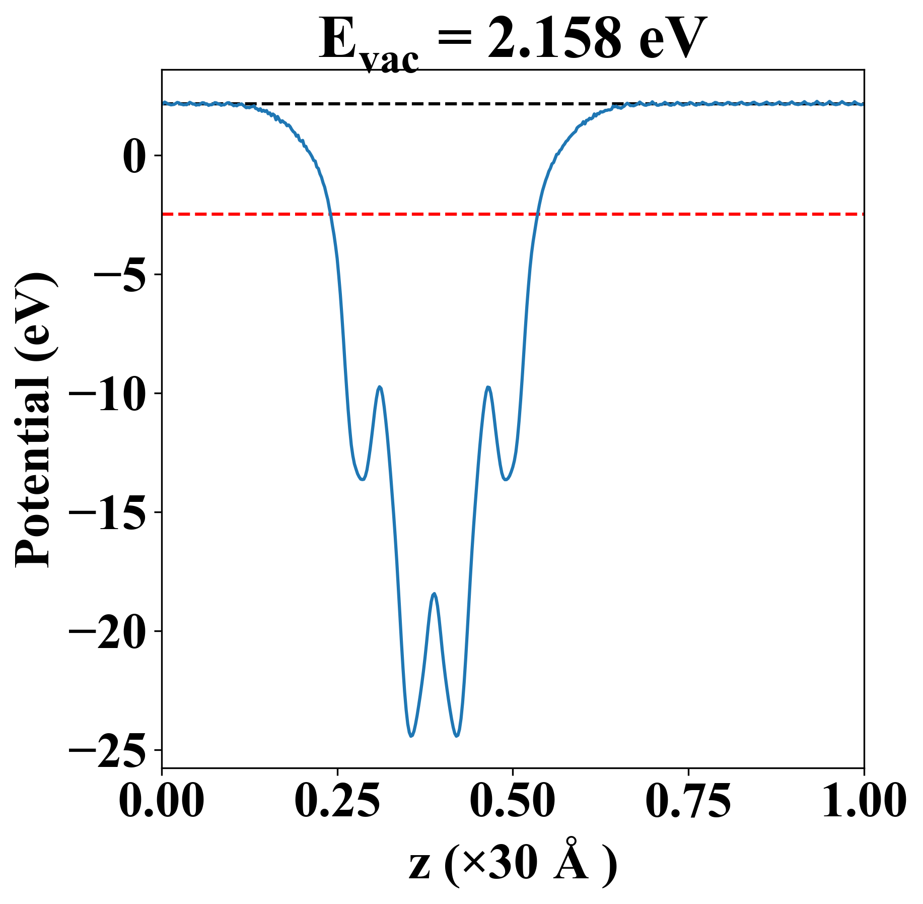
| Vacuum level |
2.158 eV |
| VBM |
-2.682 eV |
| CBM |
-2.263 eV |
| Work function |
4.629 eV |
| Direct gap |
No |
| Property |
Value |
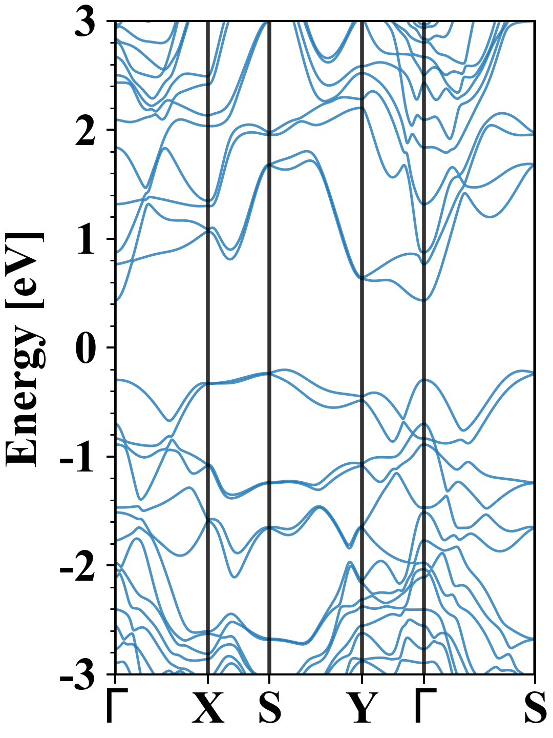
| Band gap |
0.64 eV |
| E-fermi |
-2.628 eV |
| VBM |
-2.832 eV |
| CBM |
-2.195 eV |
| Free energy (eV) |
-32.854 |
| Free energy / atom (eV) |
-5.476 |
| Property |
Value |
| Band gap |
0.00 eV |
| E-fermi |
-2.471 eV |
| Vacuum level |
2.158 eV |
| VBM |
-2.682 eV |
| CBM |
-2.263 eV |
| Work function |
4.629 eV |
| Property |
Value |
| from where |
c2db-424 |