Br2Se2V2
MatHub2d-1277-Br2Se2V2
| Property |
Value |
| Space group |
(59, 'Pmmn') |
| Crystal system |
rectangular |
| Magnetic |
Yes |
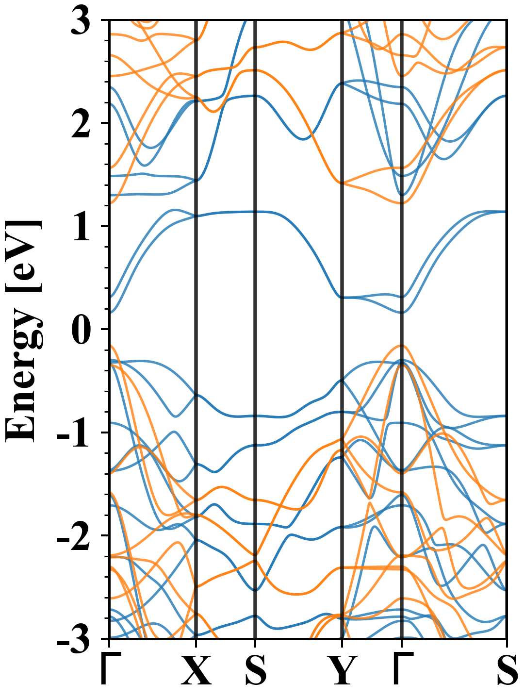
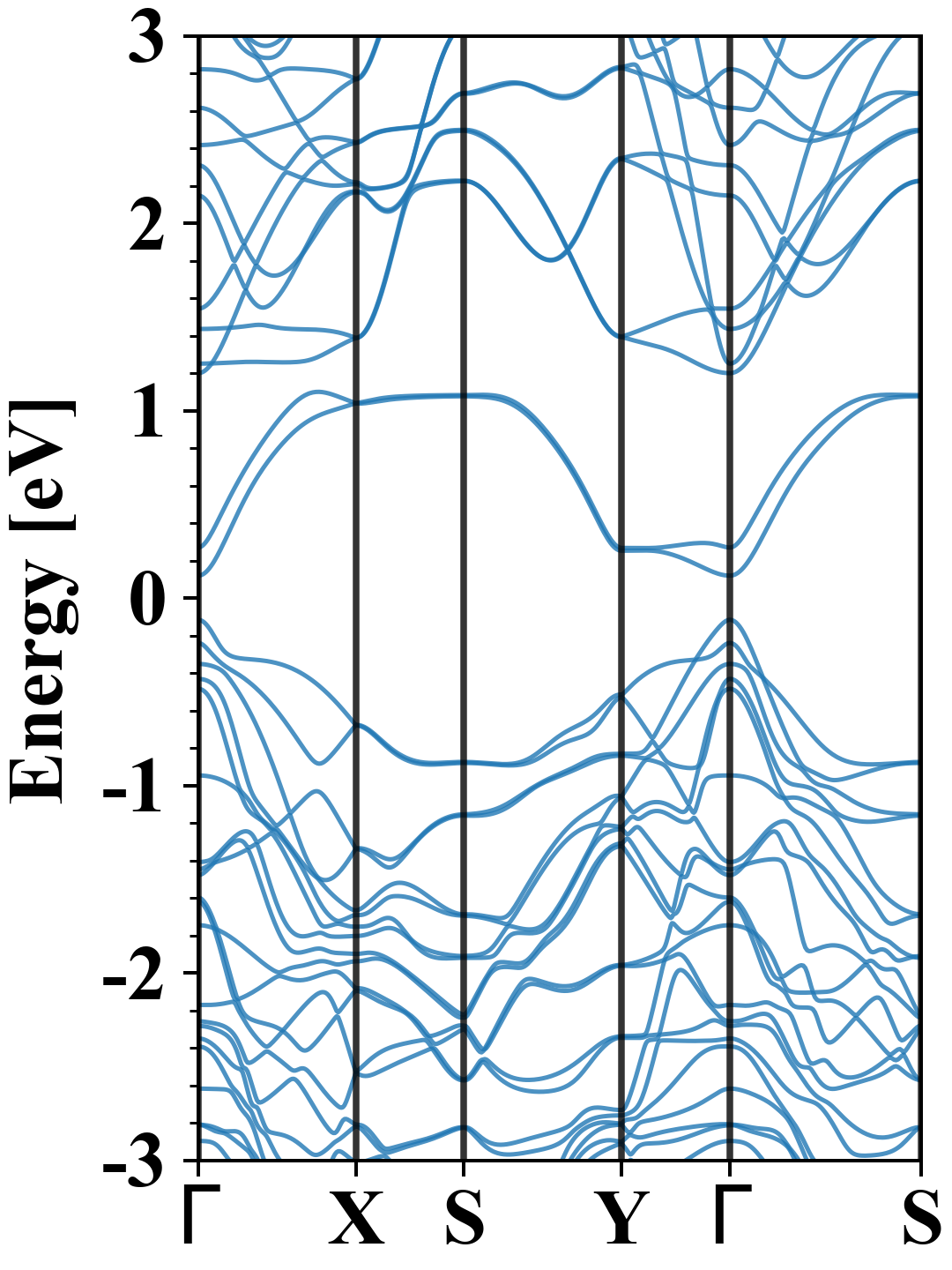
| Band gap (PBE) (eV) |
0.32 |
| Free energy (eV) |
-29.206 |
| Free energy / atom (eV) |
-4.868 |
Lattice Parameters (basic)
| a, b, c (Å): | 3.522 | 5.162 | 30.000 |
| α, β, γ (°): | 90.000 | 90.000 | 90.000 |
Lattice Parameters (computed)
| a, b, c (Å): | 3.621 | 5.266 | 30.000 |
| α, β, γ (°): | 90.000 | 90.000 | 90.000 |
| Property |
Value |
| Band gap |
0.32 eV |
| E-fermi |
-3.502 eV |
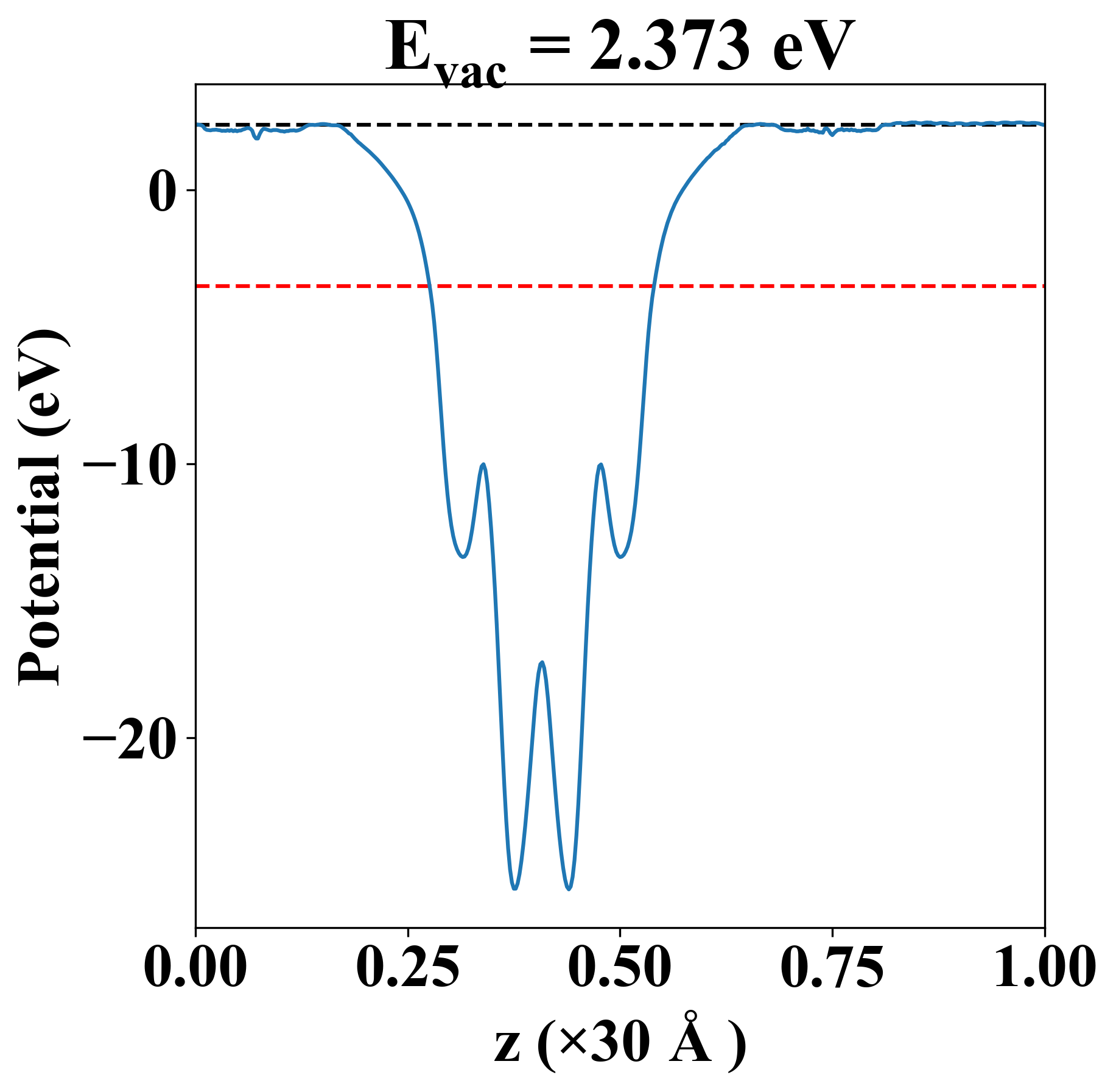
| Vacuum level |
2.373 eV |
| VBM |
-3.661 eV |
| CBM |
-3.342 eV |
| Work function |
5.875 eV |
| Direct gap |
Yes |
| Property |
Value |
| Band gap |
0.24 eV |
| E-fermi |
-3.468 eV |
| VBM |
-3.584 eV |
| CBM |
-3.348 eV |
| Free energy (eV) |
-29.321 |
| Free energy / atom (eV) |
-4.887 |
| Property |
Value |
| Band gap |
0.32 eV |
| E-fermi |
-3.502 eV |
| Vacuum level |
2.373 eV |
| VBM |
-3.661 eV |
| CBM |
-3.342 eV |
| Work function |
5.875 eV |
| Cij (N/m) |
xx |
yy |
xy |
| xx |
50.193 |
9.392 |
0.000 |
| yy |
9.392 |
59.161 |
0.000 |
| xy |
0.000 |
0.000 |
11.077 |
| Phonon mode at Γ point (THz) |
| Property |
Value |
| from where |
c2db-405 |