Br2Se2Tl2
MatHub2d-1276-Br2Se2Tl2
| Property |
Value |
| Space group |
(59, 'Pmmn') |
| Crystal system |
rectangular |
| Magnetic |
No |
| Band gap (PBE) (eV) |
0.00 |
| Free energy (eV) |
-16.325 |
| Free energy / atom (eV) |
-2.721 |
Lattice Parameters (basic)
| a, b, c (Å): | 4.233 | 4.469 | 30.000 |
| α, β, γ (°): | 90.000 | 90.000 | 90.000 |
Lattice Parameters (computed)
| a, b, c (Å): | 4.237 | 4.488 | 30.000 |
| α, β, γ (°): | 90.000 | 90.000 | 90.000 |
| Property |
Value |
| Band gap |
0.00 eV |
| E-fermi |
-2.950 eV |
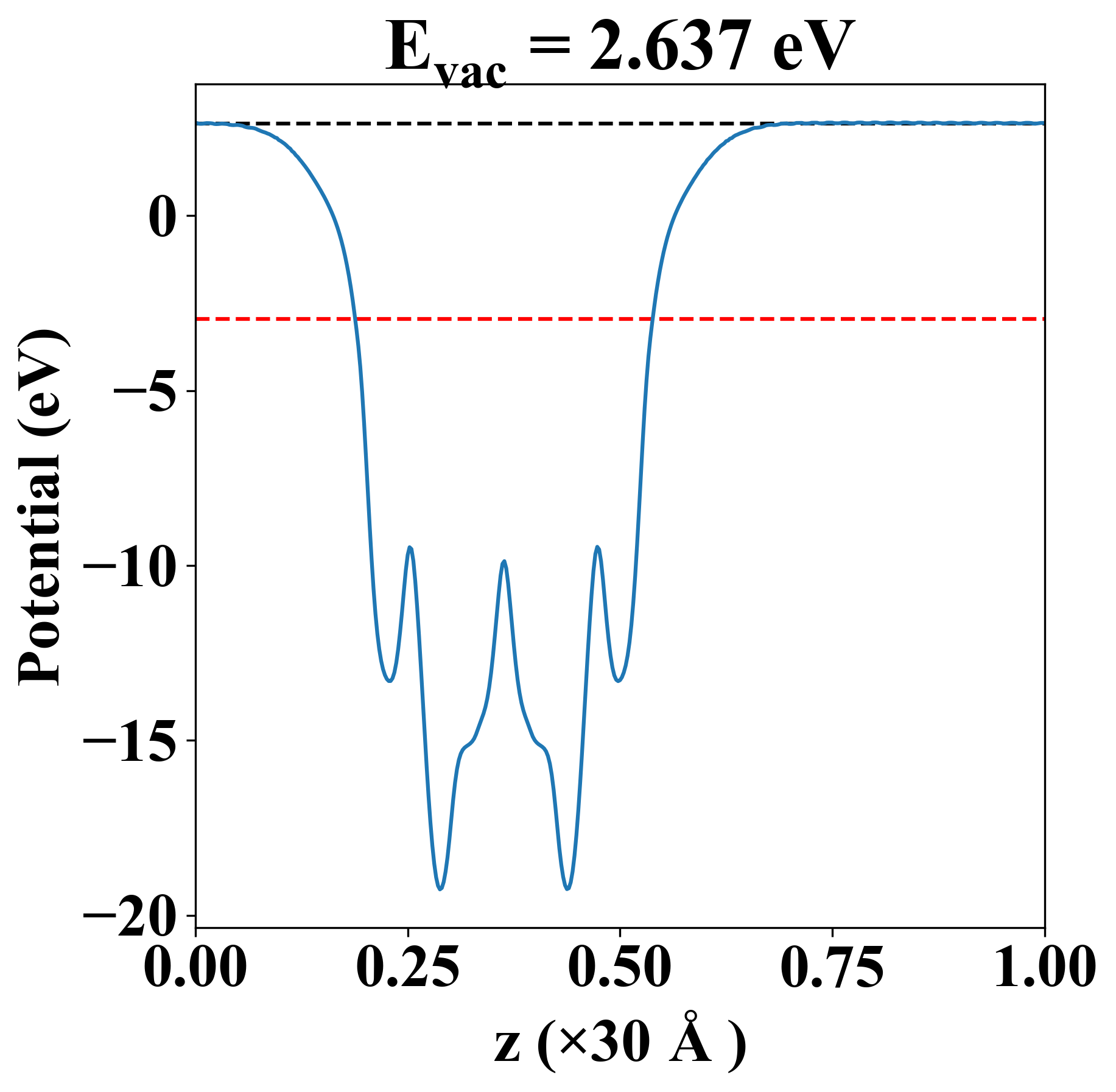
| Vacuum level |
2.637 eV |
| VBM |
-2.951 eV |
| CBM |
-2.949 eV |
| Work function |
5.587 eV |
| Direct gap |
No |
| Property |
Value |
| Band gap |
0.00 eV |
| E-fermi |
-2.950 eV |
| Vacuum level |
2.637 eV |
| VBM |
-2.951 eV |
| CBM |
-2.949 eV |
| Work function |
5.587 eV |
| Cij (N/m) |
xx |
yy |
xy |
| xx |
27.017 |
-0.161 |
0.000 |
| yy |
-0.161 |
31.804 |
0.000 |
| xy |
0.000 |
0.000 |
2.227 |
| Phonon mode at Γ point (THz) |
| Property |
Value |
| from where |
c2db-391 |