Br2Se2Ti2
MatHub2d-1275-Br2Se2Ti2
| Property |
Value |
| Space group |
(59, 'Pmmn') |
| Crystal system |
rectangular |
| Magnetic |
Yes |
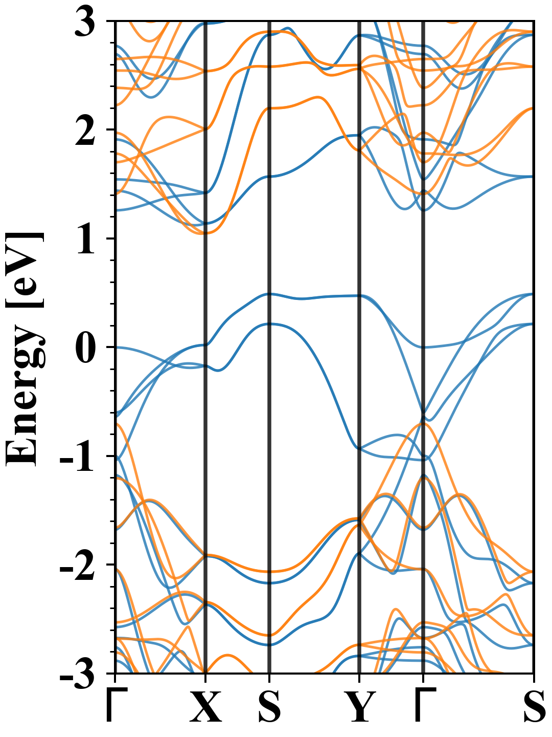
| Band gap (PBE) (eV) |
0.00 |
| Free energy (eV) |
-27.181 |
| Free energy / atom (eV) |
-4.530 |
Lattice Parameters (basic)
| a, b, c (Å): | 3.591 | 5.090 | 30.000 |
| α, β, γ (°): | 90.000 | 90.000 | 90.000 |
Lattice Parameters (computed)
| a, b, c (Å): | 3.728 | 5.270 | 30.000 |
| α, β, γ (°): | 90.000 | 90.000 | 90.000 |
| Property |
Value |
| Band gap |
0.00 eV |
| E-fermi |
-3.095 eV |
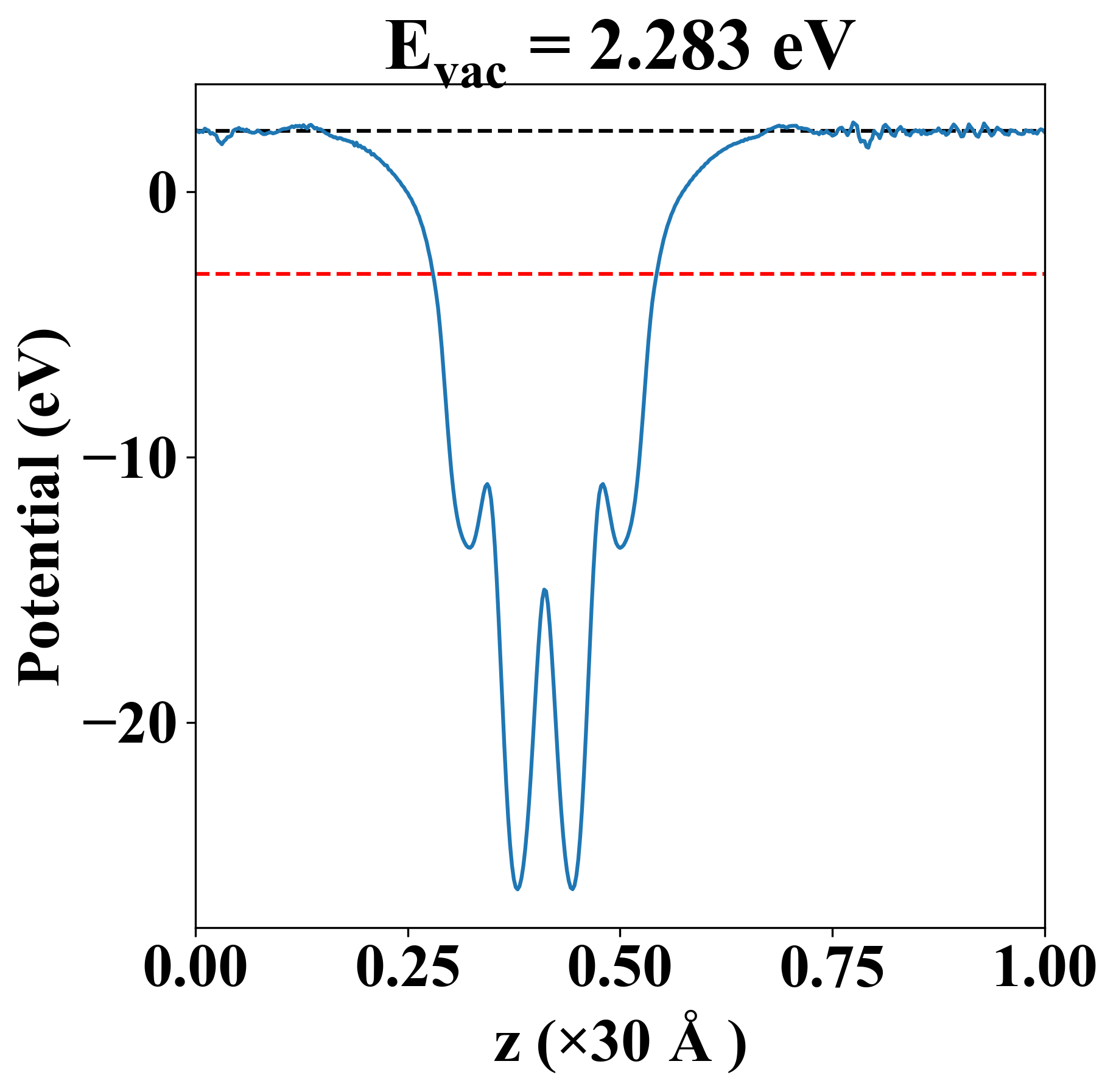
| Vacuum level |
2.283 eV |
| VBM |
-3.095 eV |
| CBM |
-3.095 eV |
| Work function |
5.378 eV |
| Direct gap |
No |
| Property |
Value |
| Band gap |
0.00 eV |
| E-fermi |
-3.095 eV |
| Vacuum level |
2.283 eV |
| VBM |
-3.095 eV |
| CBM |
-3.095 eV |
| Work function |
5.378 eV |
| Cij (N/m) |
xx |
yy |
xy |
| xx |
55.374 |
8.601 |
0.000 |
| yy |
8.601 |
77.511 |
0.000 |
| xy |
0.000 |
0.000 |
17.887 |
| Phonon mode at Γ point (THz) |
| Property |
Value |
| from where |
c2db-379 |