Br2Se2Ta2
MatHub2d-1274-Br2Se2Ta2
| Property |
Value |
| Space group |
(59, 'Pmmn') |
| Crystal system |
rectangular |
| Magnetic |
|
| Band gap (PBE) (eV) |
0.00 |
| Free energy (eV) |
-34.732 |
| Free energy / atom (eV) |
-5.789 |
Lattice Parameters (basic)
| a, b, c (Å): | 3.479 | 4.999 | 30.000 |
| α, β, γ (°): | 90.000 | 90.000 | 90.000 |
Lattice Parameters (computed)
| a, b, c (Å): | 3.500 | 5.022 | 30.000 |
| α, β, γ (°): | 90.000 | 90.000 | 90.000 |
| Property |
Value |
| Band gap |
0.00 eV |
| E-fermi |
-2.196 eV |
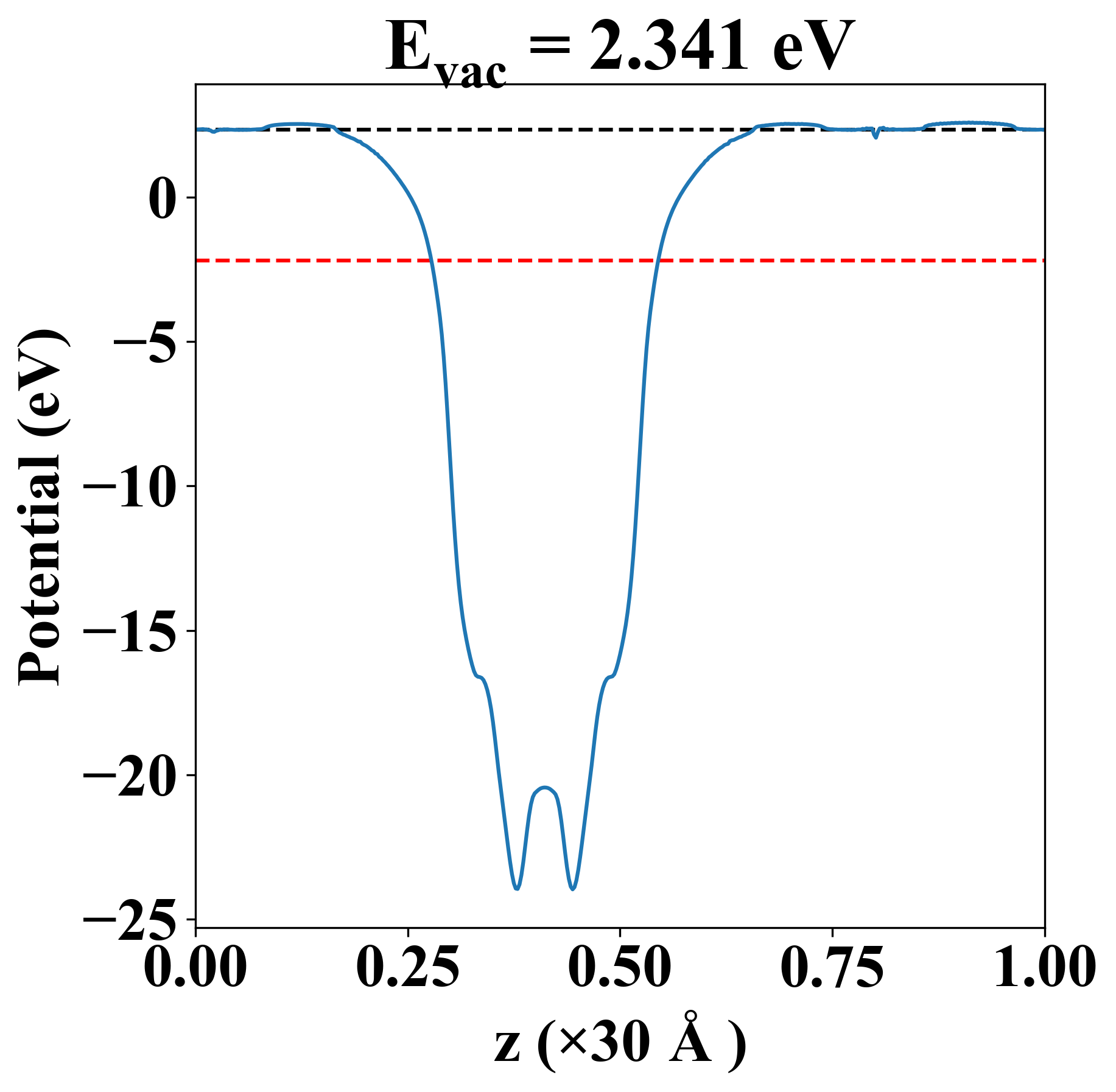
| Vacuum level |
2.341 eV |
| VBM |
-2.197 eV |
| CBM |
-2.194 eV |
| Work function |
4.536 eV |
| Direct gap |
No |
| Property |
Value |
| Band gap |
0.00 eV |
| E-fermi |
-2.196 eV |
| Vacuum level |
2.341 eV |
| VBM |
-2.197 eV |
| CBM |
-2.194 eV |
| Work function |
4.536 eV |
| Cij (N/m) |
xx |
yy |
xy |
| xx |
81.350 |
8.305 |
0.000 |
| yy |
8.305 |
161.512 |
0.000 |
| xy |
0.000 |
0.000 |
26.935 |
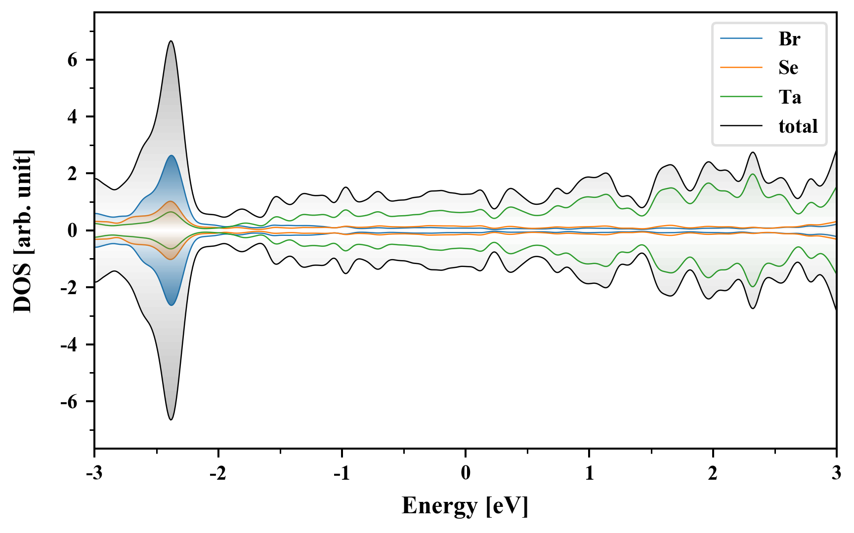
| Phonon mode at Γ point (THz) |
| Property |
Value |
| from where |
c2db-366 |