Br2Se2Sn2
MatHub2d-1273-Br2Se2Sn2
| Property |
Value |
| Space group |
(59, 'Pmmn') |
| Crystal system |
rectangular |
| Magnetic |
No |
| Band gap (PBE) (eV) |
0.00 |
| Free energy (eV) |
-21.015 |
| Free energy / atom (eV) |
-3.503 |
Lattice Parameters (basic)
| a, b, c (Å): | 4.031 | 5.635 | 30.000 |
| α, β, γ (°): | 90.000 | 90.000 | 90.000 |
Lattice Parameters (computed)
| a, b, c (Å): | 3.944 | 5.618 | 30.000 |
| α, β, γ (°): | 90.000 | 90.000 | 90.000 |
| Property |
Value |
| Band gap |
0.00 eV |
| E-fermi |
-3.293 eV |
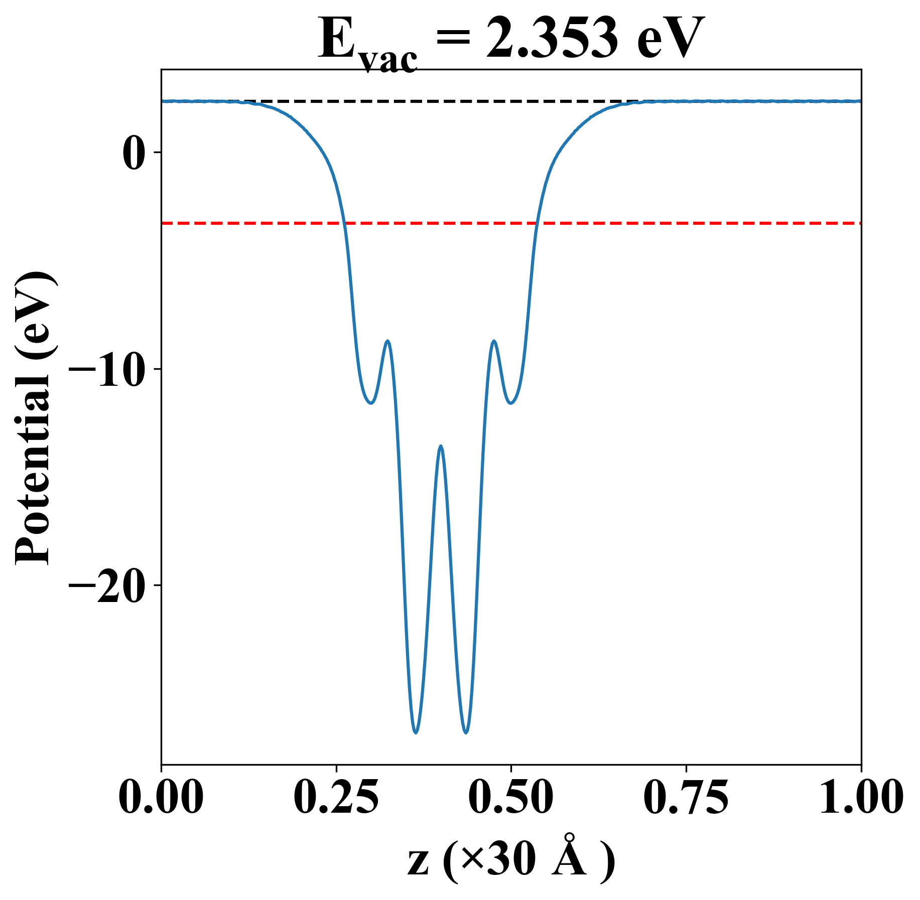
| Vacuum level |
2.353 eV |
| VBM |
-3.293 eV |
| CBM |
-3.292 eV |
| Work function |
5.646 eV |
| Direct gap |
No |
| Property |
Value |
| Band gap |
0.00 eV |
| E-fermi |
-3.293 eV |
| Vacuum level |
2.353 eV |
| VBM |
-3.293 eV |
| CBM |
-3.292 eV |
| Work function |
5.646 eV |
| Cij (N/m) |
xx |
yy |
xy |
| xx |
36.445 |
10.014 |
0.000 |
| yy |
10.014 |
62.682 |
0.000 |
| xy |
0.000 |
0.000 |
7.085 |
| Phonon mode at Γ point (THz) |
| -0.421 |
| -0.044 |
| -0.014 |
| -0.012 |
| 1.131 |
| 1.238 |
| 1.489 |
| 2.038 |
| 2.597 |
| 2.657 |
| 3.371 |
| 3.375 |
| 3.821 |
| 3.871 |
| 4.089 |
| 4.744 |
| 5.396 |
| 5.857 |
| Property |
Value |
| from where |
c2db-355 |