Br2Sc2Se2
MatHub2d-1272-Br2Sc2Se2
| Property |
Value |
| Space group |
(59, 'Pmmn') |
| Crystal system |
rectangular |
| Magnetic |
No |
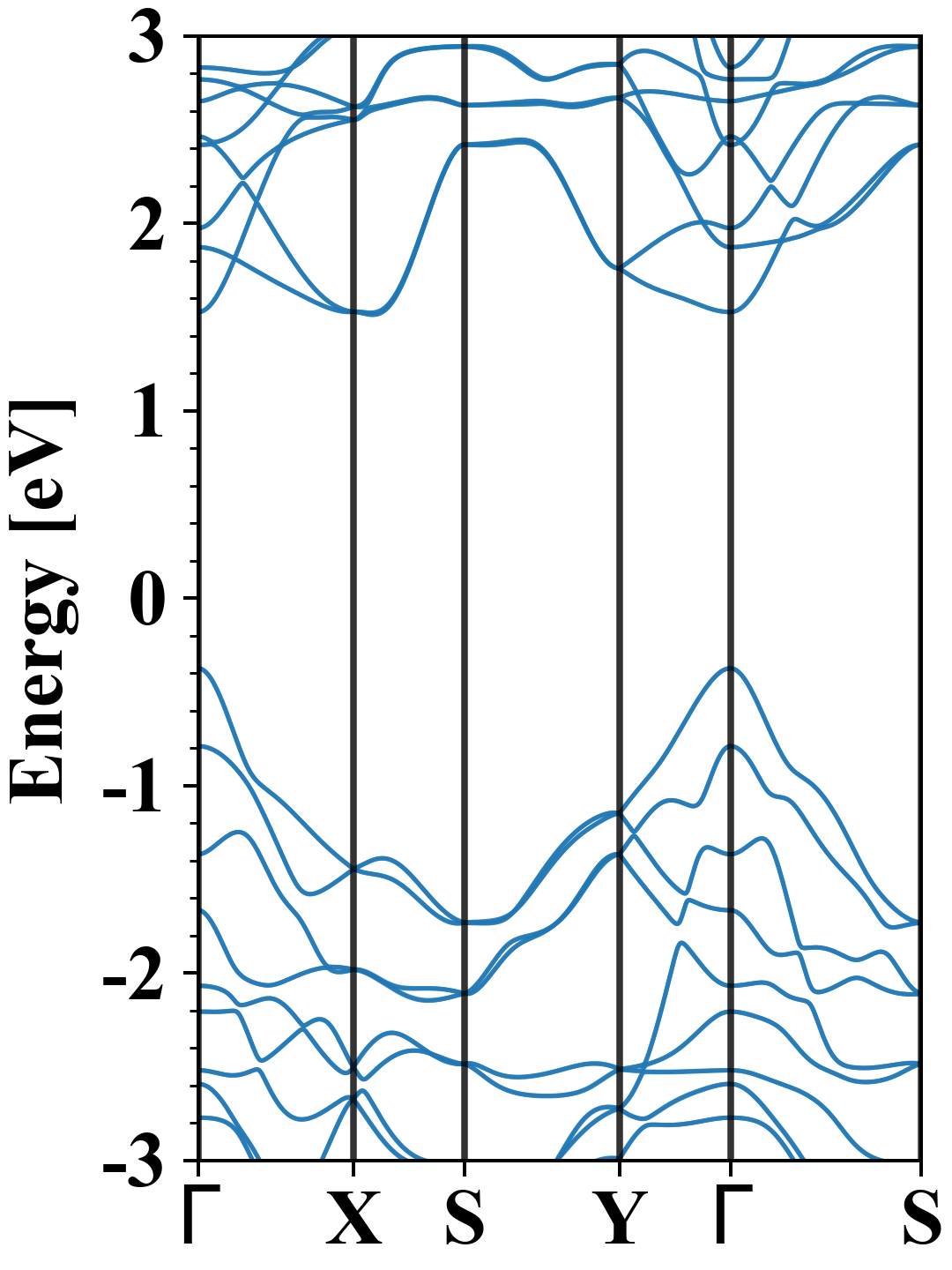
| Band gap (PBE) (eV) |
1.94 |
| Free energy (eV) |
-30.933 |
| Free energy / atom (eV) |
-5.155 |
Lattice Parameters (basic)
| a, b, c (Å): | 3.838 | 5.390 | 30.000 |
| α, β, γ (°): | 90.000 | 90.000 | 90.000 |
Lattice Parameters (computed)
| a, b, c (Å): | 3.895 | 5.461 | 30.000 |
| α, β, γ (°): | 90.000 | 90.000 | 90.000 |
| Property |
Value |
| Band gap |
1.94 eV |
| E-fermi |
-3.861 eV |
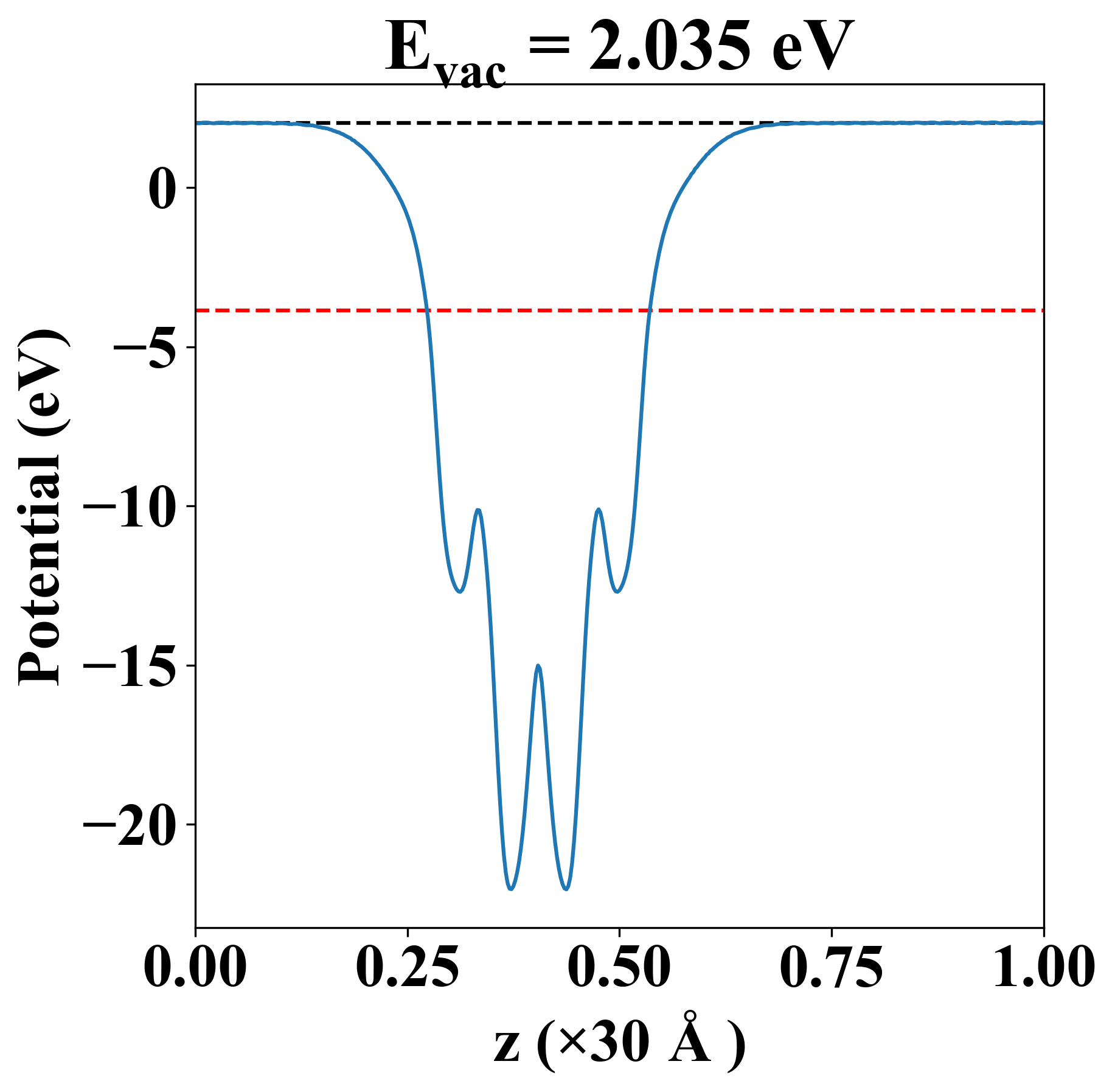
| Vacuum level |
2.035 eV |
| VBM |
-4.105 eV |
| CBM |
-2.161 eV |
| Work function |
5.896 eV |
| Direct gap |
No |
| Property |
Value |
| Band gap |
1.89 eV |
| E-fermi |
-3.680 eV |
| VBM |
-4.054 eV |
| CBM |
-2.168 eV |
| Free energy (eV) |
-31.029 |
| Free energy / atom (eV) |
-5.172 |
| Property |
Value |
| Band gap |
1.94 eV |
| E-fermi |
-3.861 eV |
| Vacuum level |
2.035 eV |
| VBM |
-4.105 eV |
| CBM |
-2.161 eV |
| Work function |
5.896 eV |
| Cij (N/m) |
xx |
yy |
xy |
| xx |
57.844 |
10.265 |
0.000 |
| yy |
10.265 |
69.504 |
0.000 |
| xy |
0.000 |
0.000 |
17.384 |
| Phonon mode at Γ point (THz) |
| Property |
Value |
| from where |
c2db-343 |