Br2S2Zr2
MatHub2d-1271-Br2S2Zr2
| Property |
Value |
| Space group |
(59, 'Pmmn') |
| Crystal system |
rectangular |
| Magnetic |
No |
| Band gap (PBE) (eV) |
0.01 |
| Free energy (eV) |
-37.935 |
| Free energy / atom (eV) |
-6.322 |
Lattice Parameters (basic)
| a, b, c (Å): | 3.719 | 5.076 | 30.000 |
| α, β, γ (°): | 90.000 | 90.000 | 90.000 |
Lattice Parameters (computed)
| a, b, c (Å): | 3.729 | 5.073 | 30.000 |
| α, β, γ (°): | 90.000 | 90.000 | 90.000 |
| Property |
Value |
| Band gap |
0.01 eV |
| E-fermi |
-2.362 eV |
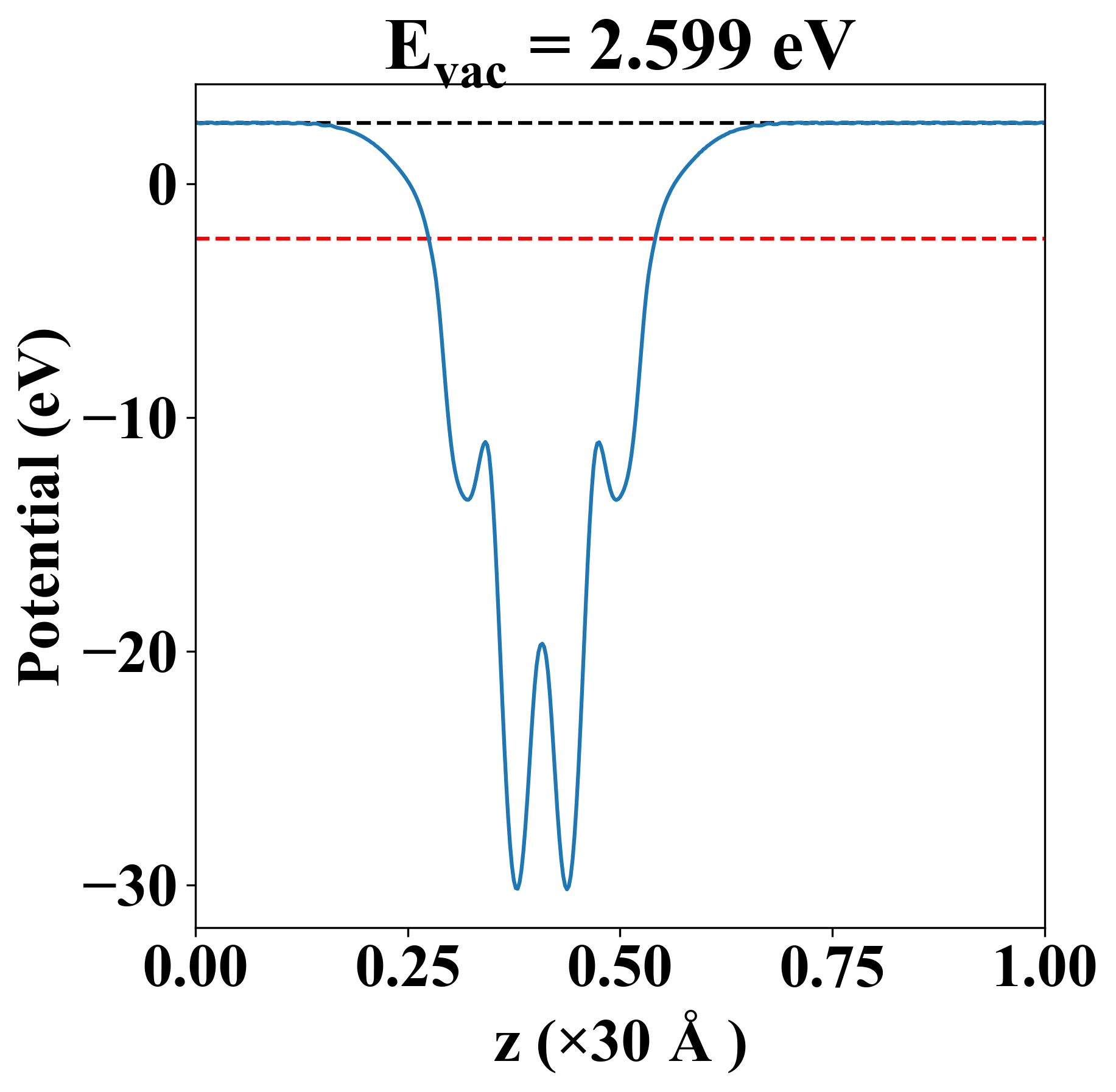
| Vacuum level |
2.599 eV |
| VBM |
-2.367 eV |
| CBM |
-2.361 eV |
| Work function |
4.961 eV |
| Direct gap |
No |
| Property |
Value |
| Band gap |
0.01 eV |
| E-fermi |
-2.362 eV |
| Vacuum level |
2.599 eV |
| VBM |
-2.367 eV |
| CBM |
-2.361 eV |
| Work function |
4.961 eV |
| Property |
Value |
| from where |
c2db-435 |