Br2S2W2
MatHub2d-1270-Br2S2W2
| Property |
Value |
| Space group |
(59, 'Pmmn') |
| Crystal system |
rectangular |
| Magnetic |
Yes |
| Band gap (PBE) (eV) |
0.00 |
| Free energy (eV) |
-34.222 |
| Free energy / atom (eV) |
-5.704 |
Lattice Parameters (basic)
| a, b, c (Å): | 3.158 | 4.632 | 30.000 |
| α, β, γ (°): | 90.000 | 90.000 | 90.000 |
Lattice Parameters (computed)
| a, b, c (Å): | 3.390 | 4.941 | 30.000 |
| α, β, γ (°): | 90.000 | 90.000 | 90.000 |
| Property |
Value |
| Band gap |
0.00 eV |
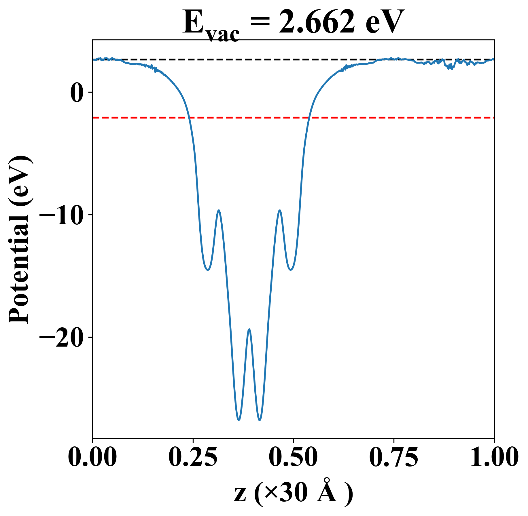
| E-fermi |
-2.082 eV |
| Vacuum level |
2.662 eV |
| VBM |
-2.083 eV |
| CBM |
-2.080 eV |
| Work function |
4.744 eV |
| Direct gap |
No |
| Property |
Value |
| Band gap |
0.00 eV |
| E-fermi |
-2.082 eV |
| Vacuum level |
2.662 eV |
| VBM |
-2.083 eV |
| CBM |
-2.080 eV |
| Work function |
4.744 eV |
| Cij (N/m) |
xx |
yy |
xy |
| xx |
-381.961 |
-620.053 |
0.000 |
| yy |
-620.053 |
-767.333 |
0.000 |
| xy |
0.000 |
0.000 |
13.193 |
| Phonon mode at Γ point (THz) |
| Property |
Value |
| from where |
c2db-423 |