Br2S2V2
MatHub2d-1269-Br2S2V2
| Property |
Value |
| Space group |
(59, 'Pmmn') |
| Crystal system |
rectangular |
| Magnetic |
Yes |
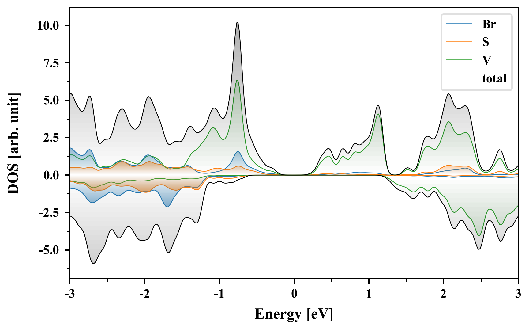
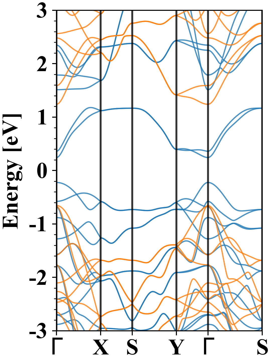
| Band gap (PBE) (eV) |
0.47 |
| Free energy (eV) |
-31.125 |
| Free energy / atom (eV) |
-5.188 |
Lattice Parameters (basic)
| a, b, c (Å): | 3.567 | 4.721 | 30.000 |
| α, β, γ (°): | 90.000 | 90.000 | 90.000 |
Lattice Parameters (computed)
| a, b, c (Å): | 3.552 | 4.983 | 30.000 |
| α, β, γ (°): | 90.000 | 90.000 | 90.000 |
| Property |
Value |
| Band gap |
0.47 eV |
| E-fermi |
-3.483 eV |
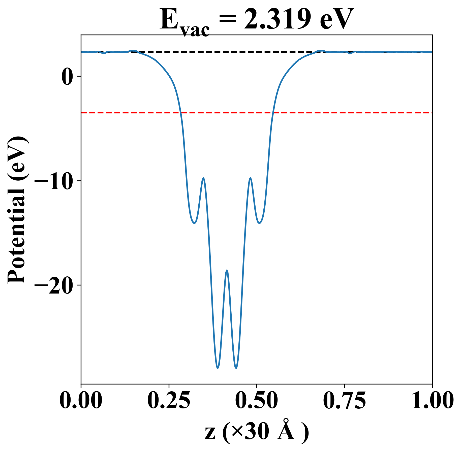
| Vacuum level |
2.319 eV |
| VBM |
-3.707 eV |
| CBM |
-3.240 eV |
| Work function |
5.802 eV |
| Direct gap |
Yes |
| Property |
Value |
| Band gap |
0.48 eV |
| E-fermi |
-3.492 eV |
| VBM |
-3.730 eV |
| CBM |
-3.245 eV |
| Free energy (eV) |
-31.202 |
| Free energy / atom (eV) |
-5.200 |
| Property |
Value |
| Band gap |
0.47 eV |
| E-fermi |
-3.483 eV |
| Vacuum level |
2.319 eV |
| VBM |
-3.707 eV |
| CBM |
-3.240 eV |
| Work function |
5.802 eV |
| Cij (N/m) |
xx |
yy |
xy |
| xx |
61.719 |
8.623 |
0.000 |
| yy |
8.623 |
66.797 |
0.000 |
| xy |
0.000 |
0.000 |
9.978 |
| Phonon mode at Γ point (THz) |
| Property |
Value |
| from where |
c2db-404 |