Br2S2Tl2
MatHub2d-1268-Br2S2Tl2
| Property |
Value |
| Space group |
(59, 'Pmmn') |
| Crystal system |
rectangular |
| Magnetic |
No |
| Band gap (PBE) (eV) |
0.24 |
| Free energy (eV) |
-17.189 |
| Free energy / atom (eV) |
-2.865 |
Lattice Parameters (basic)
| a, b, c (Å): | 4.207 | 4.215 | 30.000 |
| α, β, γ (°): | 90.000 | 90.000 | 90.000 |
Lattice Parameters (computed)
| a, b, c (Å): | 4.197 | 4.220 | 30.000 |
| α, β, γ (°): | 90.000 | 90.000 | 90.000 |
| Property |
Value |
| Band gap |
0.24 eV |
| E-fermi |
-3.130 eV |
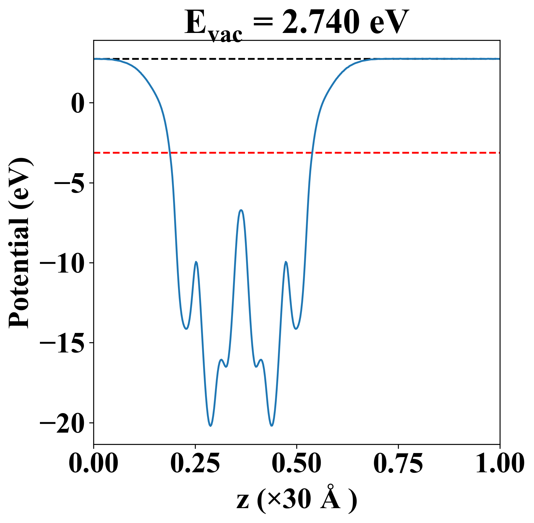
| Vacuum level |
2.740 eV |
| VBM |
-3.254 eV |
| CBM |
-3.019 eV |
| Work function |
5.870 eV |
| Direct gap |
No |
| Property |
Value |
| Band gap |
0.25 eV |
| E-fermi |
-3.111 eV |
| VBM |
-3.242 eV |
| CBM |
-2.991 eV |
| Free energy (eV) |
-17.792 |
| Free energy / atom (eV) |
-2.965 |
| Property |
Value |
| Band gap |
0.24 eV |
| E-fermi |
-3.130 eV |
| Vacuum level |
2.740 eV |
| VBM |
-3.254 eV |
| CBM |
-3.019 eV |
| Work function |
5.870 eV |
| Cij (N/m) |
xx |
yy |
xy |
| xx |
29.873 |
-3.468 |
0.000 |
| yy |
-3.468 |
35.007 |
0.000 |
| xy |
0.000 |
0.000 |
3.109 |
| Phonon mode at Γ point (THz) |
| Property |
Value |
| from where |
c2db-390 |