Br2S2Ti2
MatHub2d-1267-Br2S2Ti2
| Property |
Value |
| Space group |
(59, 'Pmmn') |
| Crystal system |
rectangular |
| Magnetic |
Yes |
| Band gap (PBE) (eV) |
0.00 |
| Free energy (eV) |
-29.230 |
| Free energy / atom (eV) |
-4.872 |
Lattice Parameters (basic)
| a, b, c (Å): | 3.525 | 4.824 | 30.000 |
| α, β, γ (°): | 90.000 | 90.000 | 90.000 |
Lattice Parameters (computed)
| a, b, c (Å): | 3.616 | 4.980 | 30.000 |
| α, β, γ (°): | 90.000 | 90.000 | 90.000 |
| Property |
Value |
| Band gap |
0.00 eV |
| E-fermi |
-2.865 eV |
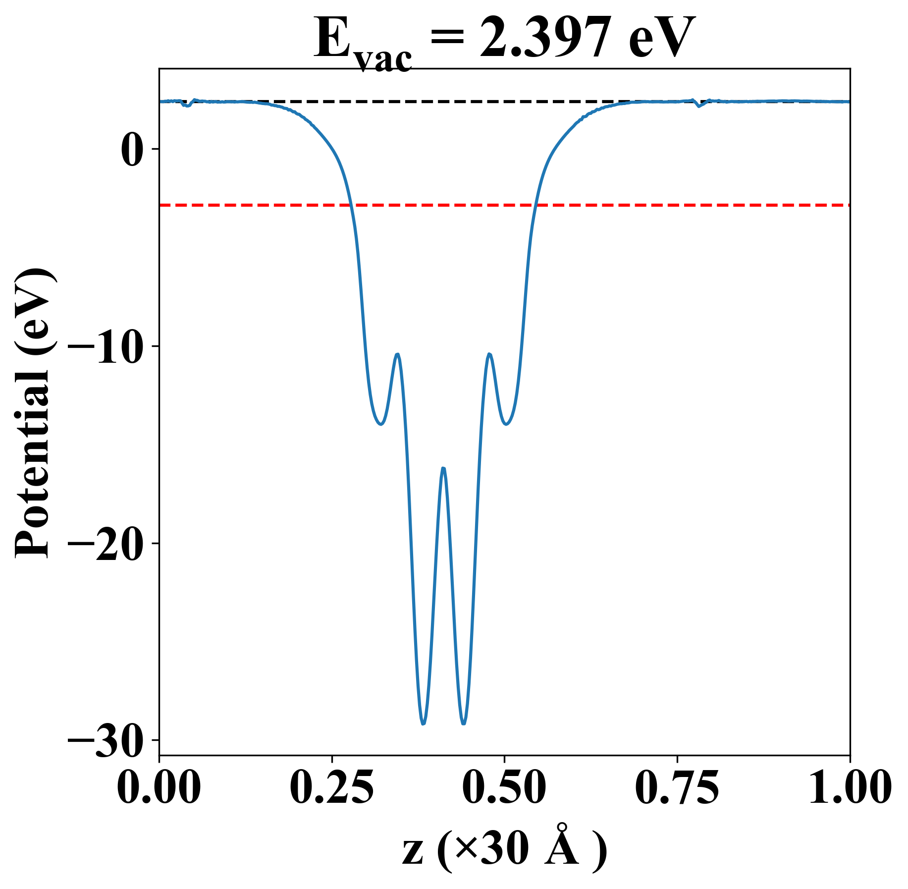
| Vacuum level |
2.397 eV |
| VBM |
-2.866 eV |
| CBM |
-2.865 eV |
| Work function |
5.262 eV |
| Direct gap |
No |
| Property |
Value |
| Band gap |
0.00 eV |
| E-fermi |
-2.865 eV |
| Vacuum level |
2.397 eV |
| VBM |
-2.866 eV |
| CBM |
-2.865 eV |
| Work function |
5.262 eV |
| Cij (N/m) |
xx |
yy |
xy |
| xx |
64.059 |
9.356 |
0.000 |
| yy |
9.356 |
93.658 |
0.000 |
| xy |
0.000 |
0.000 |
19.268 |
| Phonon mode at Γ point (THz) |
| Property |
Value |
| from where |
c2db-378 |