Br2S2Sn2
MatHub2d-1265-Br2S2Sn2
| Property |
Value |
| Space group |
(59, 'Pmmn') |
| Crystal system |
rectangular |
| Magnetic |
No |
| Band gap (PBE) (eV) |
0.00 |
| Free energy (eV) |
-22.344 |
| Free energy / atom (eV) |
-3.724 |
Lattice Parameters (basic)
| a, b, c (Å): | 3.990 | 5.316 | 30.000 |
| α, β, γ (°): | 90.000 | 90.000 | 90.000 |
Lattice Parameters (computed)
| a, b, c (Å): | 4.009 | 5.244 | 30.000 |
| α, β, γ (°): | 90.000 | 90.000 | 90.000 |
| Property |
Value |
| Band gap |
0.00 eV |
| E-fermi |
-3.271 eV |
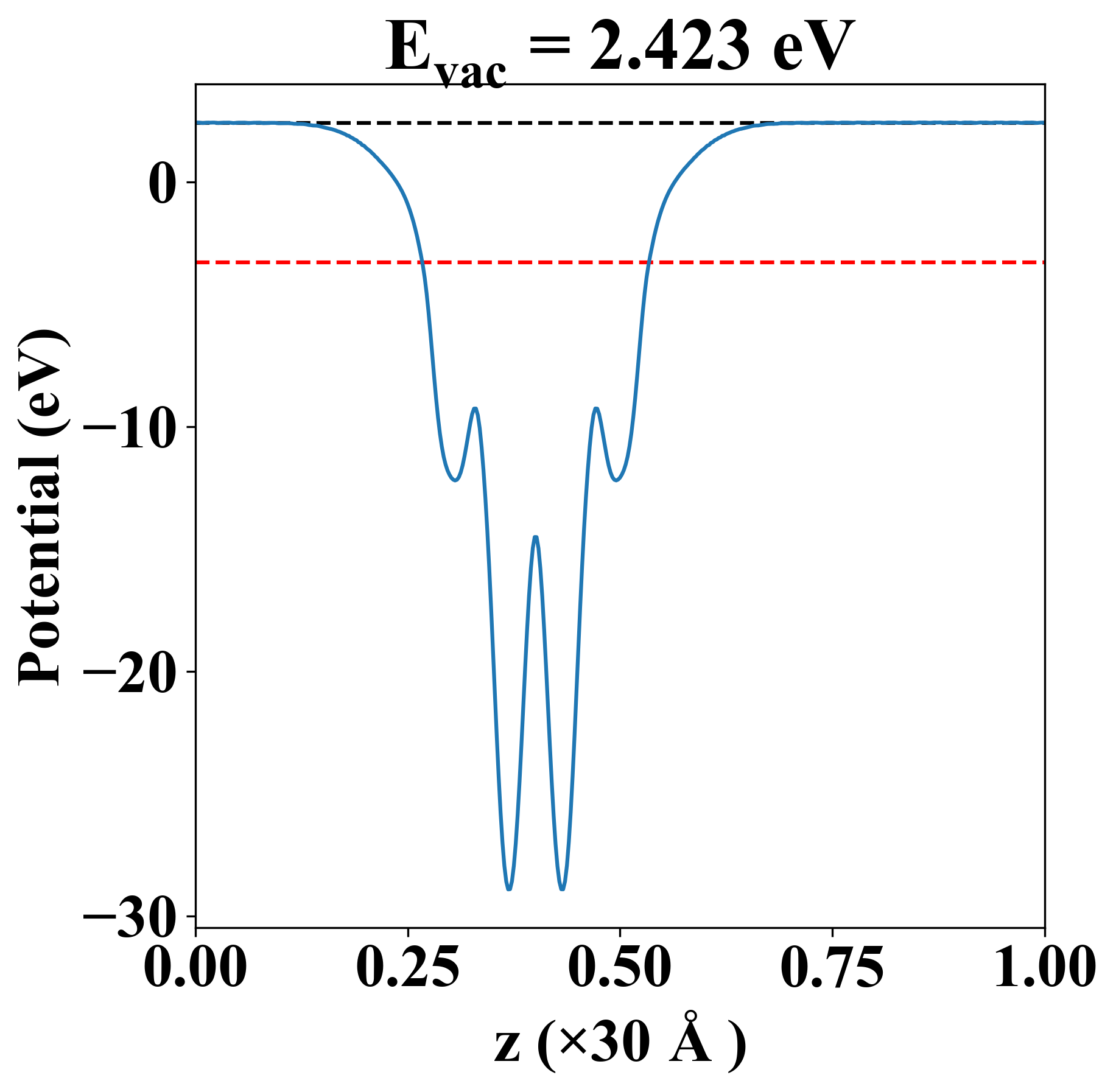
| Vacuum level |
2.423 eV |
| VBM |
-3.271 eV |
| CBM |
-3.269 eV |
| Work function |
5.694 eV |
| Direct gap |
No |
| Property |
Value |
| Band gap |
0.00 eV |
| E-fermi |
-3.271 eV |
| Vacuum level |
2.423 eV |
| VBM |
-3.271 eV |
| CBM |
-3.269 eV |
| Work function |
5.694 eV |
| Cij (N/m) |
xx |
yy |
xy |
| xx |
33.578 |
11.746 |
0.000 |
| yy |
11.746 |
76.755 |
0.000 |
| xy |
0.000 |
0.000 |
12.932 |
| Phonon mode at Γ point (THz) |
| -0.036 |
| -0.022 |
| -0.012 |
| 1.082 |
| 1.264 |
| 1.593 |
| 1.700 |
| 2.379 |
| 2.723 |
| 2.803 |
| 4.604 |
| 4.754 |
| 5.140 |
| 5.286 |
| 6.039 |
| 6.724 |
| 6.735 |
| 8.270 |
| Property |
Value |
| from where |
c2db-354 |