Br2S2Sc2
MatHub2d-1264-Br2S2Sc2
| Property |
Value |
| Space group |
(59, 'Pmmn') |
| Crystal system |
rectangular |
| Magnetic |
No |
| Band gap (PBE) (eV) |
2.54 |
| Free energy (eV) |
-32.939 |
| Free energy / atom (eV) |
-5.490 |
Lattice Parameters (basic)
| a, b, c (Å): | 3.770 | 5.107 | 30.000 |
| α, β, γ (°): | 90.000 | 90.000 | 90.000 |
Lattice Parameters (computed)
| a, b, c (Å): | 3.828 | 5.173 | 30.000 |
| α, β, γ (°): | 90.000 | 90.000 | 90.000 |
| Property |
Value |
| Band gap |
2.54 eV |
| E-fermi |
-4.278 eV |
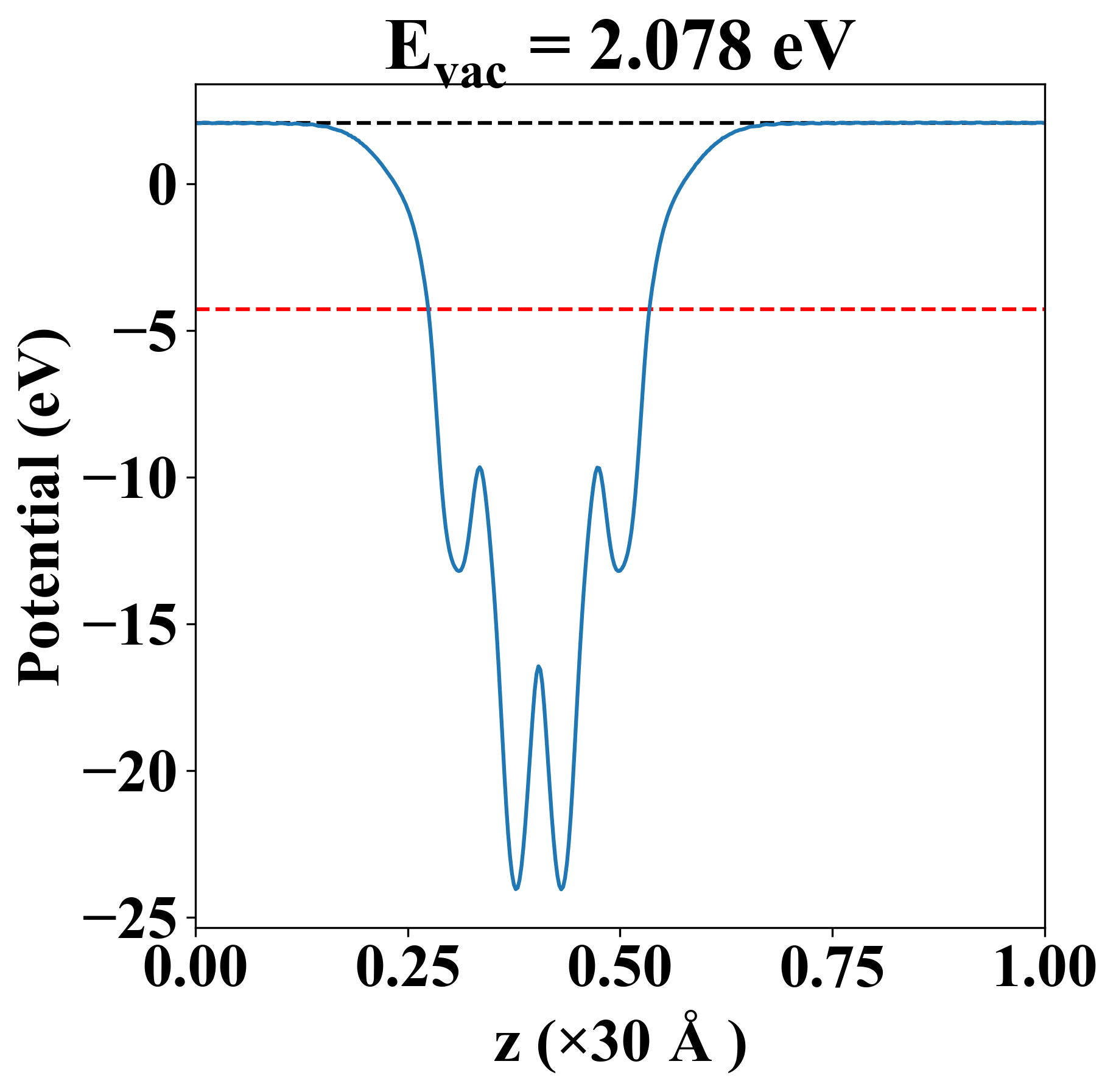
| Vacuum level |
2.078 eV |
| VBM |
-4.605 eV |
| CBM |
-2.060 eV |
| Work function |
6.356 eV |
| Direct gap |
Yes |
| Property |
Value |
| Band gap |
2.51 eV |
| E-fermi |
-4.291 eV |
| VBM |
-4.572 eV |
| CBM |
-2.058 eV |
| Free energy (eV) |
-33.000 |
| Free energy / atom (eV) |
-5.500 |
| Property |
Value |
| Band gap |
2.54 eV |
| E-fermi |
-4.278 eV |
| Vacuum level |
2.078 eV |
| VBM |
-4.605 eV |
| CBM |
-2.060 eV |
| Work function |
6.356 eV |
| Cij (N/m) |
xx |
yy |
xy |
| xx |
62.590 |
12.062 |
0.000 |
| yy |
12.062 |
75.747 |
0.000 |
| xy |
0.000 |
0.000 |
20.573 |
| Phonon mode at Γ point (THz) |
| Property |
Value |
| from where |
c2db-342 |