Br2S2Sb2
MatHub2d-1263-Br2S2Sb2
| Property |
Value |
| Space group |
(11, 'P2_1/m') |
| Crystal system |
rectangular |
| Magnetic |
No |
| Band gap (PBE) (eV) |
1.44 |
| Free energy (eV) |
-22.409 |
| Free energy / atom (eV) |
-3.735 |
Lattice Parameters (basic)
| a, b, c (Å): | 6.914 | 3.994 | 30.000 |
| α, β, γ (°): | 90.000 | 90.000 | 90.000 |
Lattice Parameters (computed)
| a, b, c (Å): | 7.290 | 4.031 | 30.000 |
| α, β, γ (°): | 90.000 | 90.000 | 90.000 |
| Property |
Value |
| Band gap |
1.44 eV |
| E-fermi |
-4.160 eV |
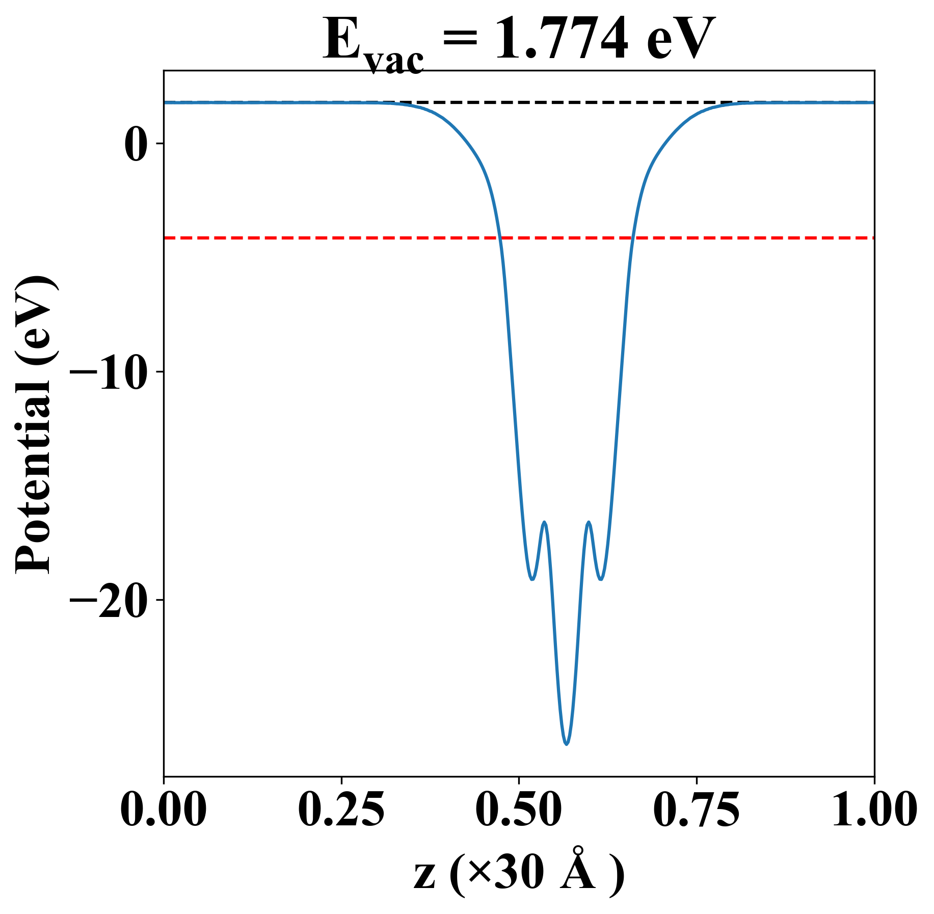
| Vacuum level |
1.774 eV |
| VBM |
-4.371 eV |
| CBM |
-2.926 eV |
| Work function |
5.934 eV |
| Direct gap |
No |
| Property |
Value |
| Band gap |
1.35 eV |
| E-fermi |
-4.119 eV |
| VBM |
-4.361 eV |
| CBM |
-3.012 eV |
| Free energy (eV) |
-22.561 |
| Free energy / atom (eV) |
-3.760 |
| Property |
Value |
| Band gap |
1.44 eV |
| E-fermi |
-4.160 eV |
| Vacuum level |
1.774 eV |
| VBM |
-4.371 eV |
| CBM |
-2.926 eV |
| Work function |
5.934 eV |
| Cij (N/m) |
xx |
yy |
xy |
| xx |
3.980 |
-0.385 |
0.000 |
| yy |
-0.385 |
30.473 |
0.000 |
| xy |
0.000 |
0.000 |
-0.116 |
| Phonon mode at Γ point (THz) |
| -0.064 |
| -0.025 |
| -0.015 |
| 1.034 |
| 1.210 |
| 1.226 |
| 1.713 |
| 1.874 |
| 1.949 |
| 3.141 |
| 4.140 |
| 4.689 |
| 4.994 |
| 5.668 |
| 6.733 |
| 7.343 |
| 8.638 |
| 9.233 |
| Property |
Value |
| from where |
JVASP-6409 |