Br2Ru2Se2
MatHub2d-1262-Br2Ru2Se2
| Property |
Value |
| Space group |
(59, 'Pmmn') |
| Crystal system |
rectangular |
| Magnetic |
No |
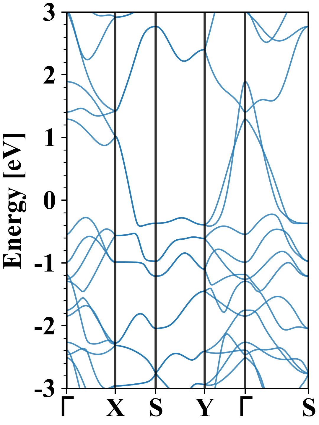
| Band gap (PBE) (eV) |
0.00 |
| Free energy (eV) |
-23.612 |
| Free energy / atom (eV) |
-3.935 |
Lattice Parameters (basic)
| a, b, c (Å): | 3.785 | 4.655 | 30.000 |
| α, β, γ (°): | 90.000 | 90.000 | 90.000 |
Lattice Parameters (computed)
| a, b, c (Å): | 3.823 | 4.617 | 30.000 |
| α, β, γ (°): | 90.000 | 90.000 | 90.000 |
| Property |
Value |
| Band gap |
0.00 eV |
| E-fermi |
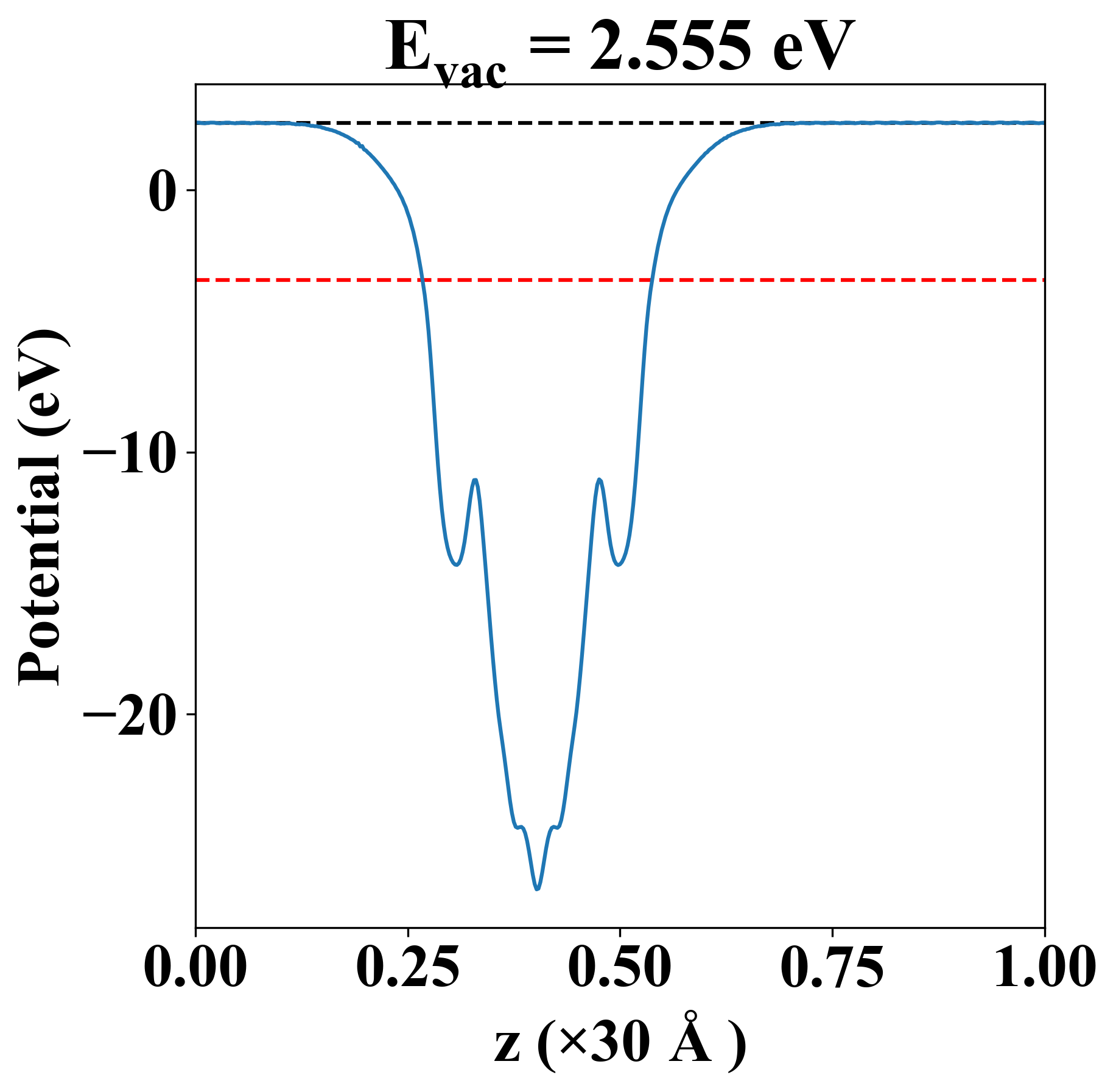
-3.443 eV |
| Vacuum level |
2.555 eV |
| VBM |
-3.446 eV |
| CBM |
-3.436 eV |
| Work function |
5.998 eV |
| Direct gap |
No |
| Property |
Value |
| Band gap |
0.00 eV |
| E-fermi |
-3.443 eV |
| Vacuum level |
2.555 eV |
| VBM |
-3.446 eV |
| CBM |
-3.436 eV |
| Work function |
5.998 eV |
| Cij (N/m) |
xx |
yy |
xy |
| xx |
77.351 |
28.205 |
0.000 |
| yy |
28.205 |
88.190 |
0.000 |
| xy |
0.000 |
0.000 |
20.714 |
| Phonon mode at Γ point (THz) |
| Property |
Value |
| from where |
c2db-328 |