Br2Ru2S2
MatHub2d-1261-Br2Ru2S2
| Property |
Value |
| Space group |
(59, 'Pmmn') |
| Crystal system |
rectangular |
| Magnetic |
No |
| Band gap (PBE) (eV) |
0.00 |
| Free energy (eV) |
-25.433 |
| Free energy / atom (eV) |
-4.239 |
Lattice Parameters (basic)
| a, b, c (Å): | 3.687 | 4.339 | 30.000 |
| α, β, γ (°): | 90.000 | 90.000 | 90.000 |
Lattice Parameters (computed)
| a, b, c (Å): | 3.704 | 4.331 | 30.000 |
| α, β, γ (°): | 90.000 | 90.000 | 90.000 |
| Property |
Value |
| Band gap |
0.00 eV |
| E-fermi |
-3.216 eV |
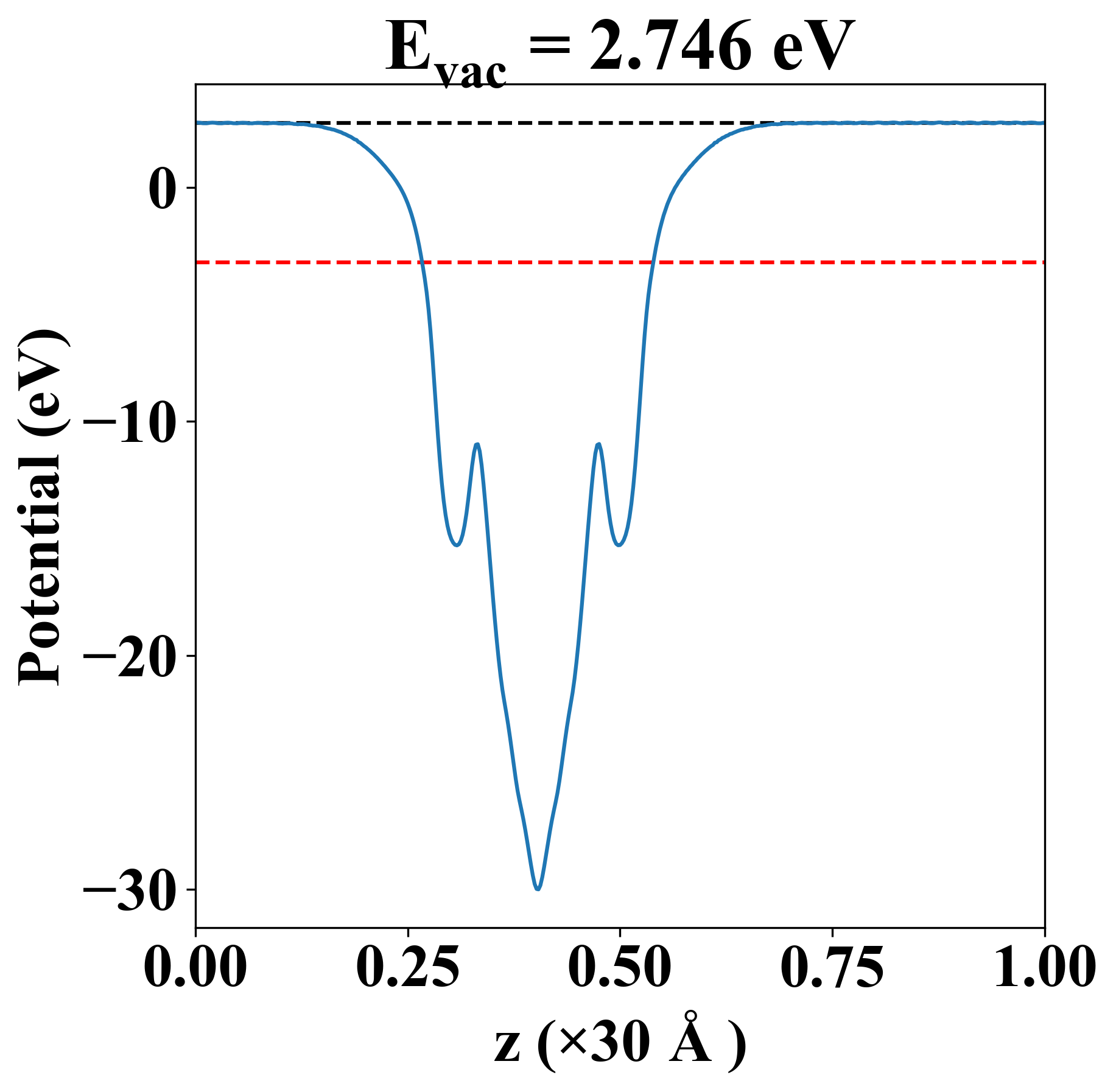
| Vacuum level |
2.746 eV |
| VBM |
-3.222 eV |
| CBM |
-3.206 eV |
| Work function |
5.961 eV |
| Direct gap |
No |
| Property |
Value |
| Band gap |
0.00 eV |
| E-fermi |
-3.216 eV |
| Vacuum level |
2.746 eV |
| VBM |
-3.222 eV |
| CBM |
-3.206 eV |
| Work function |
5.961 eV |
| Cij (N/m) |
xx |
yy |
xy |
| xx |
93.500 |
17.230 |
0.000 |
| yy |
17.230 |
90.068 |
0.000 |
| xy |
0.000 |
0.000 |
25.647 |
| Phonon mode at Γ point (THz) |
| Property |
Value |
| from where |
c2db-327 |