Br2Rh2Se2
MatHub2d-1260-Br2Rh2Se2
| Property |
Value |
| Space group |
(59, 'Pmmn') |
| Crystal system |
rectangular |
| Magnetic |
|
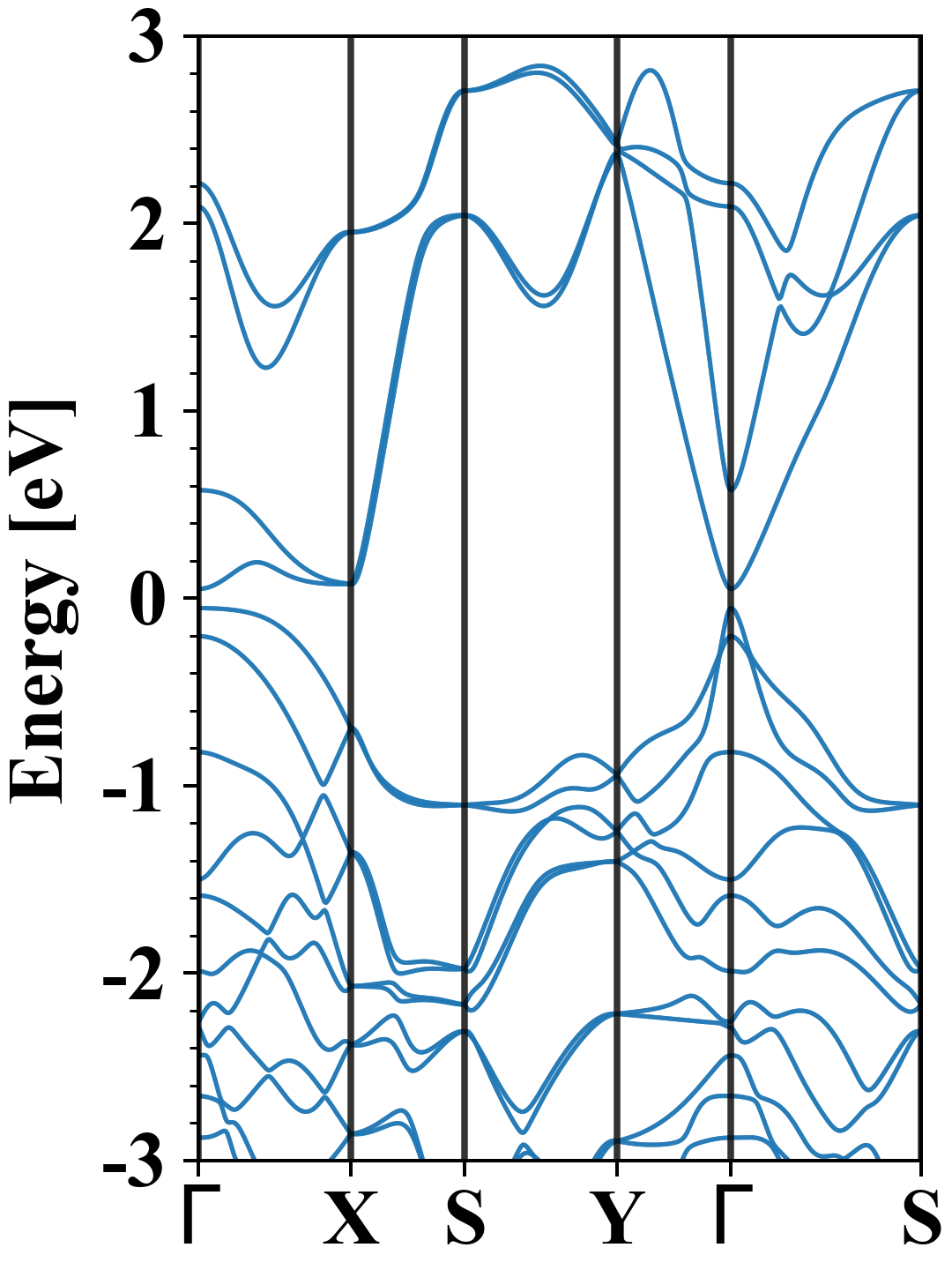
| Band gap (PBE) (eV) |
0.11 |
| Free energy (eV) |
-21.776 |
| Free energy / atom (eV) |
-3.629 |
Lattice Parameters (basic)
| a, b, c (Å): | 3.694 | 4.937 | 30.000 |
| α, β, γ (°): | 90.000 | 90.000 | 90.000 |
Lattice Parameters (computed)
| a, b, c (Å): | 3.682 | 4.932 | 30.000 |
| α, β, γ (°): | 90.000 | 90.000 | 90.000 |
| Property |
Value |
| Band gap |
0.11 eV |
| E-fermi |
-3.472 eV |
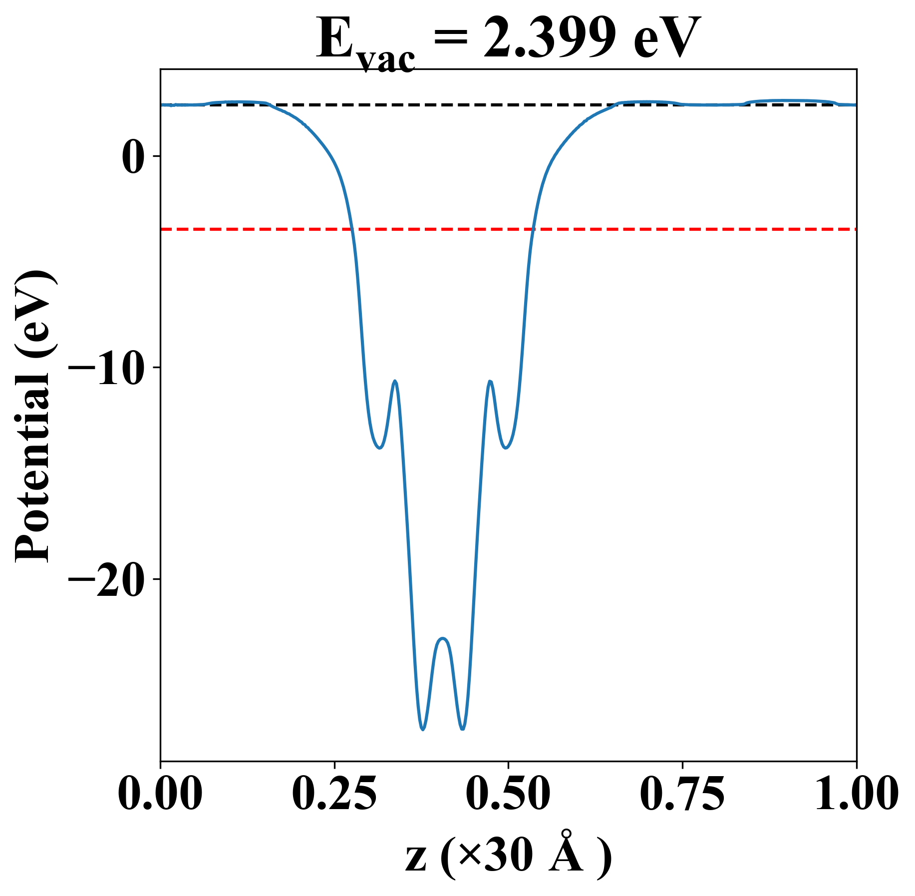
| Vacuum level |
2.399 eV |
| VBM |
-3.534 eV |
| CBM |
-3.420 eV |
| Work function |
5.871 eV |
| Direct gap |
Yes |
| Property |
Value |
| Band gap |
0.10 eV |
| E-fermi |
-3.443 eV |
| VBM |
-3.496 eV |
| CBM |
-3.395 eV |
| Free energy (eV) |
-22.190 |
| Free energy / atom (eV) |
-3.698 |
| Property |
Value |
| Band gap |
0.11 eV |
| E-fermi |
-3.472 eV |
| Vacuum level |
2.399 eV |
| VBM |
-3.534 eV |
| CBM |
-3.420 eV |
| Work function |
5.871 eV |
| Cij (N/m) |
xx |
yy |
xy |
| xx |
79.117 |
11.347 |
0.000 |
| yy |
11.347 |
112.964 |
0.000 |
| xy |
0.000 |
0.000 |
17.535 |
| Phonon mode at Γ point (THz) |
| Property |
Value |
| from where |
c2db-316 |