Br2Rh2S2
MatHub2d-1259-Br2Rh2S2
| Property |
Value |
| Space group |
(59, 'Pmmn') |
| Crystal system |
rectangular |
| Magnetic |
No |
| Band gap (PBE) (eV) |
0.47 |
| Free energy (eV) |
-23.248 |
| Free energy / atom (eV) |
-3.875 |
Lattice Parameters (basic)
| a, b, c (Å): | 3.584 | 4.670 | 30.000 |
| α, β, γ (°): | 90.000 | 90.000 | 90.000 |
Lattice Parameters (computed)
| a, b, c (Å): | 3.573 | 4.663 | 30.000 |
| α, β, γ (°): | 90.000 | 90.000 | 90.000 |
| Property |
Value |
| Band gap |
0.47 eV |
| E-fermi |
-3.271 eV |
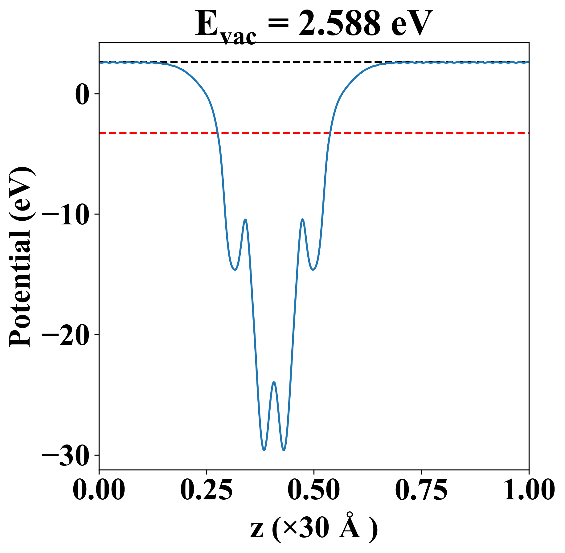
| Vacuum level |
2.588 eV |
| VBM |
-3.481 eV |
| CBM |
-3.008 eV |
| Work function |
5.858 eV |
| Direct gap |
Yes |
| Property |
Value |
| Band gap |
0.48 eV |
| E-fermi |
-3.205 eV |
| VBM |
-3.468 eV |
| CBM |
-2.988 eV |
| Free energy (eV) |
-23.625 |
| Free energy / atom (eV) |
-3.937 |
| Property |
Value |
| Band gap |
0.47 eV |
| E-fermi |
-3.271 eV |
| Vacuum level |
2.588 eV |
| VBM |
-3.481 eV |
| CBM |
-3.008 eV |
| Work function |
5.858 eV |
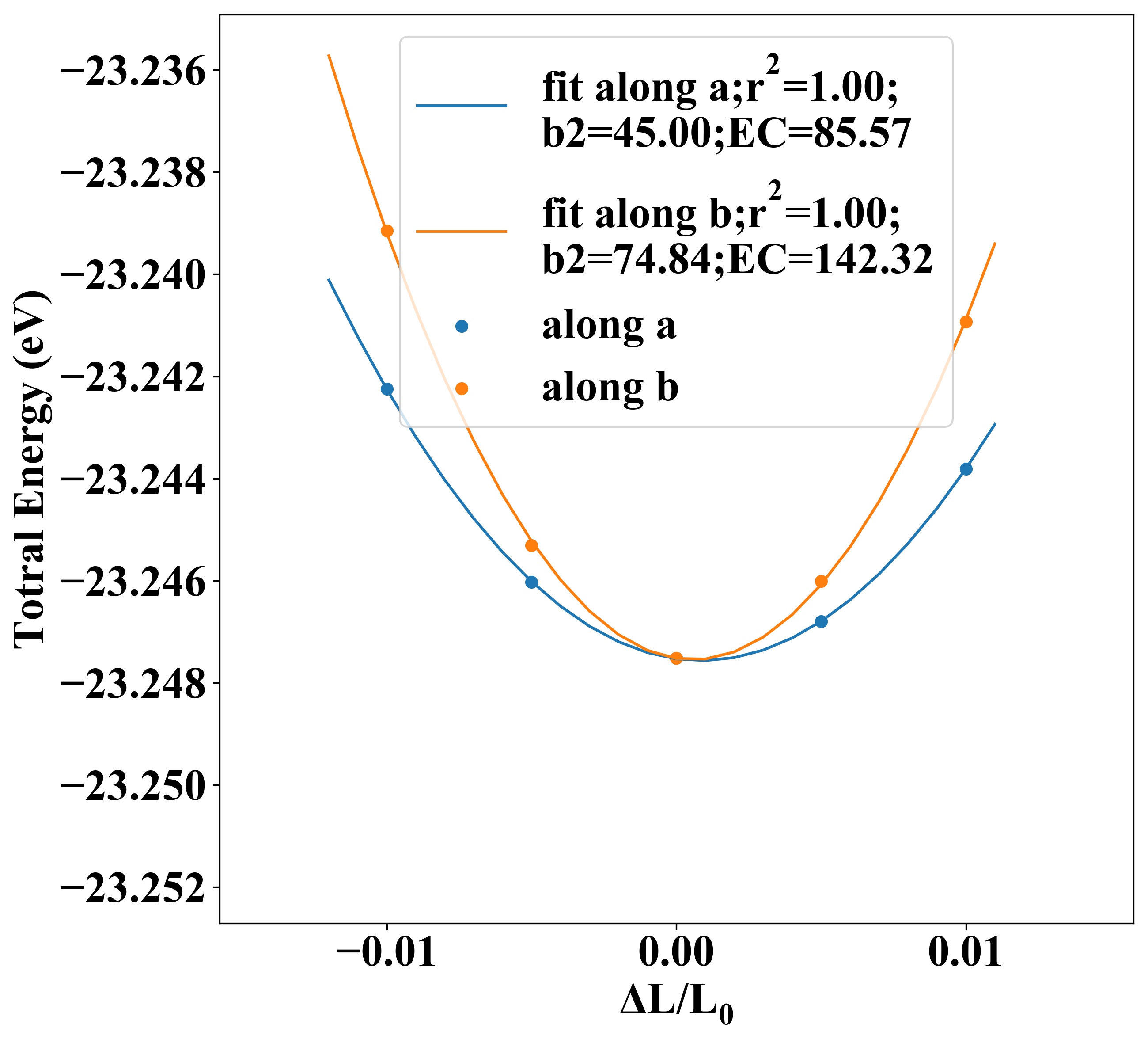
| Cij (N/m) |
xx |
yy |
xy |
| xx |
82.239 |
8.288 |
0.000 |
| yy |
8.288 |
134.104 |
0.000 |
| xy |
0.000 |
0.000 |
22.212 |
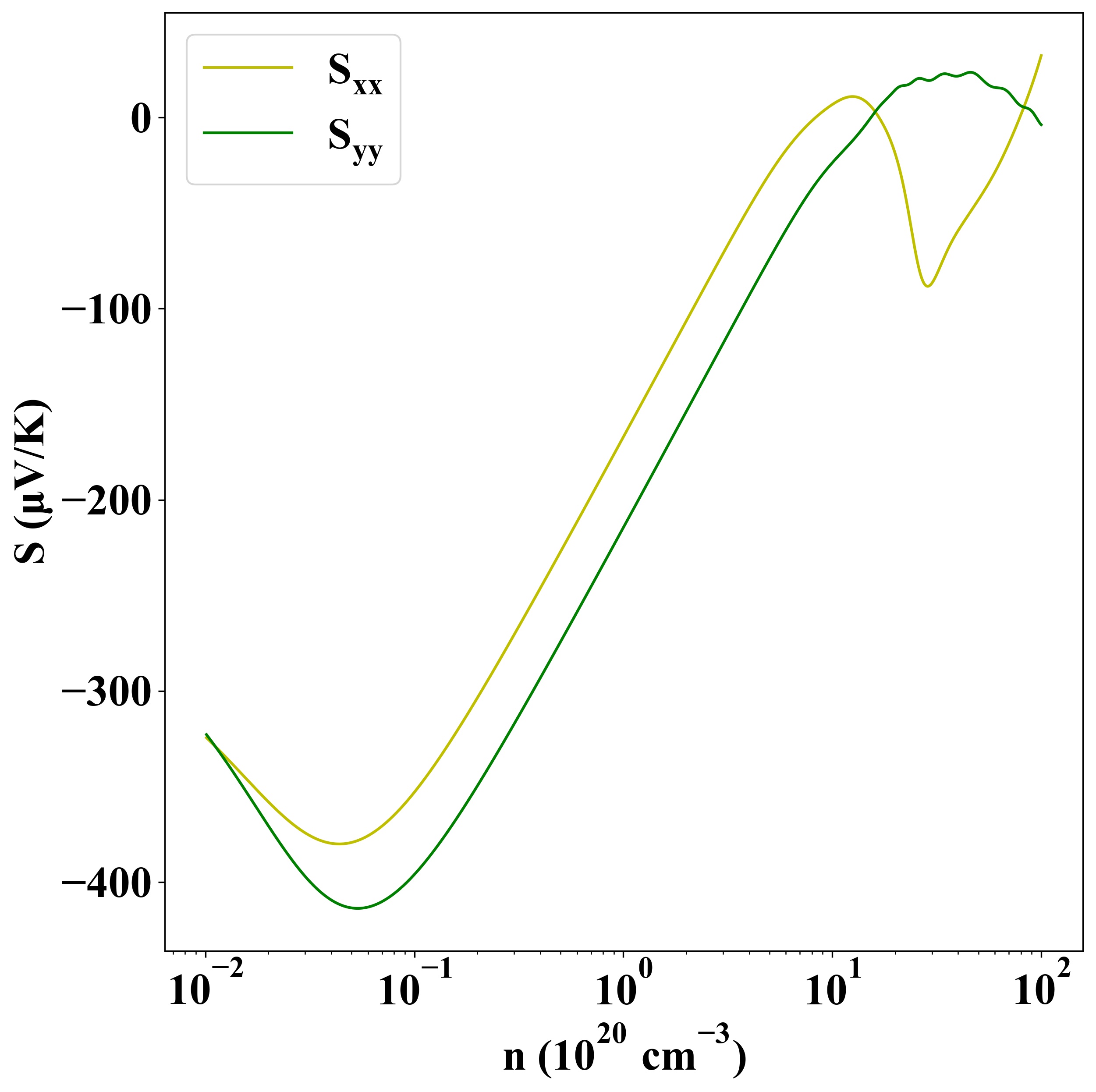
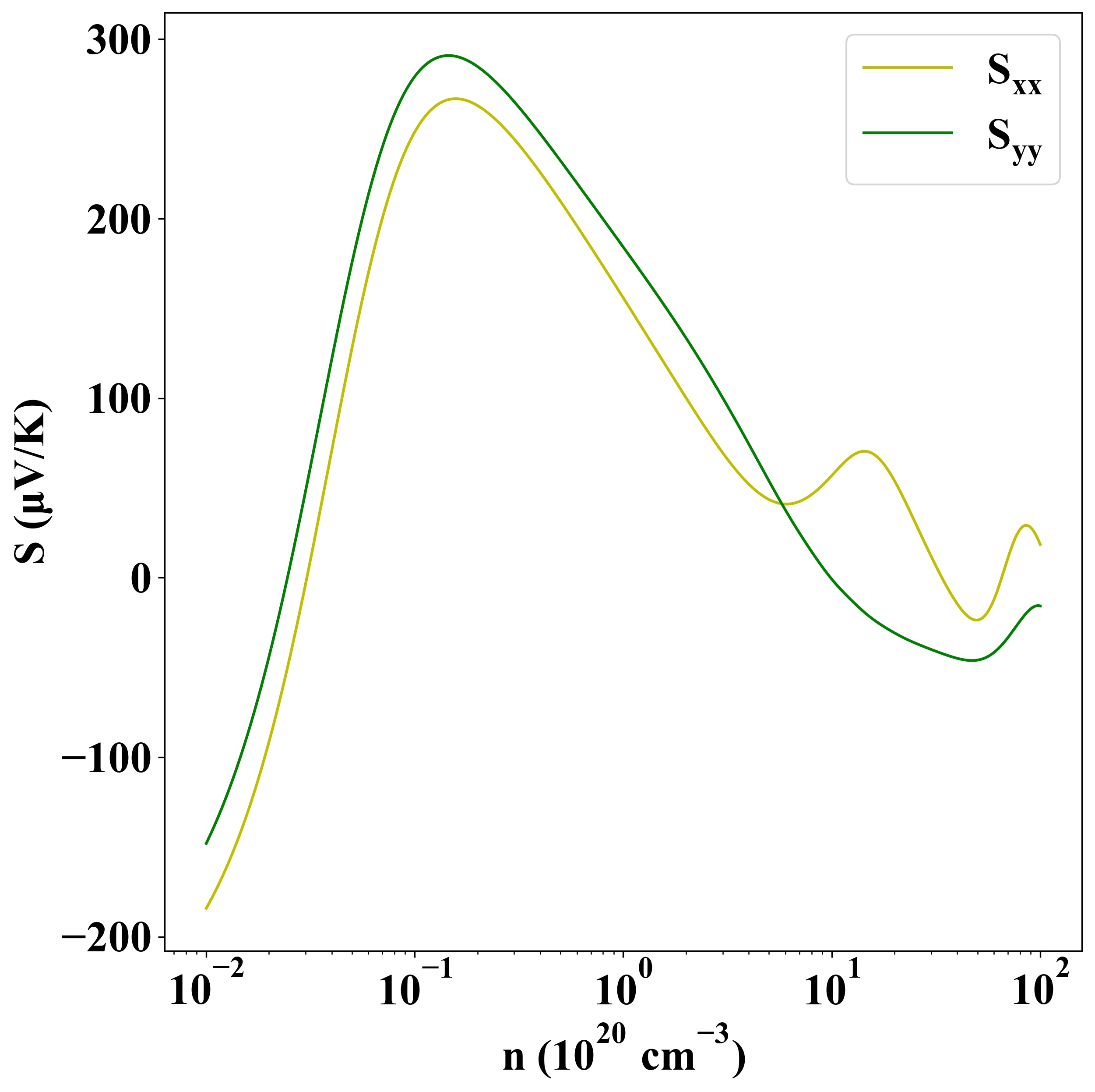
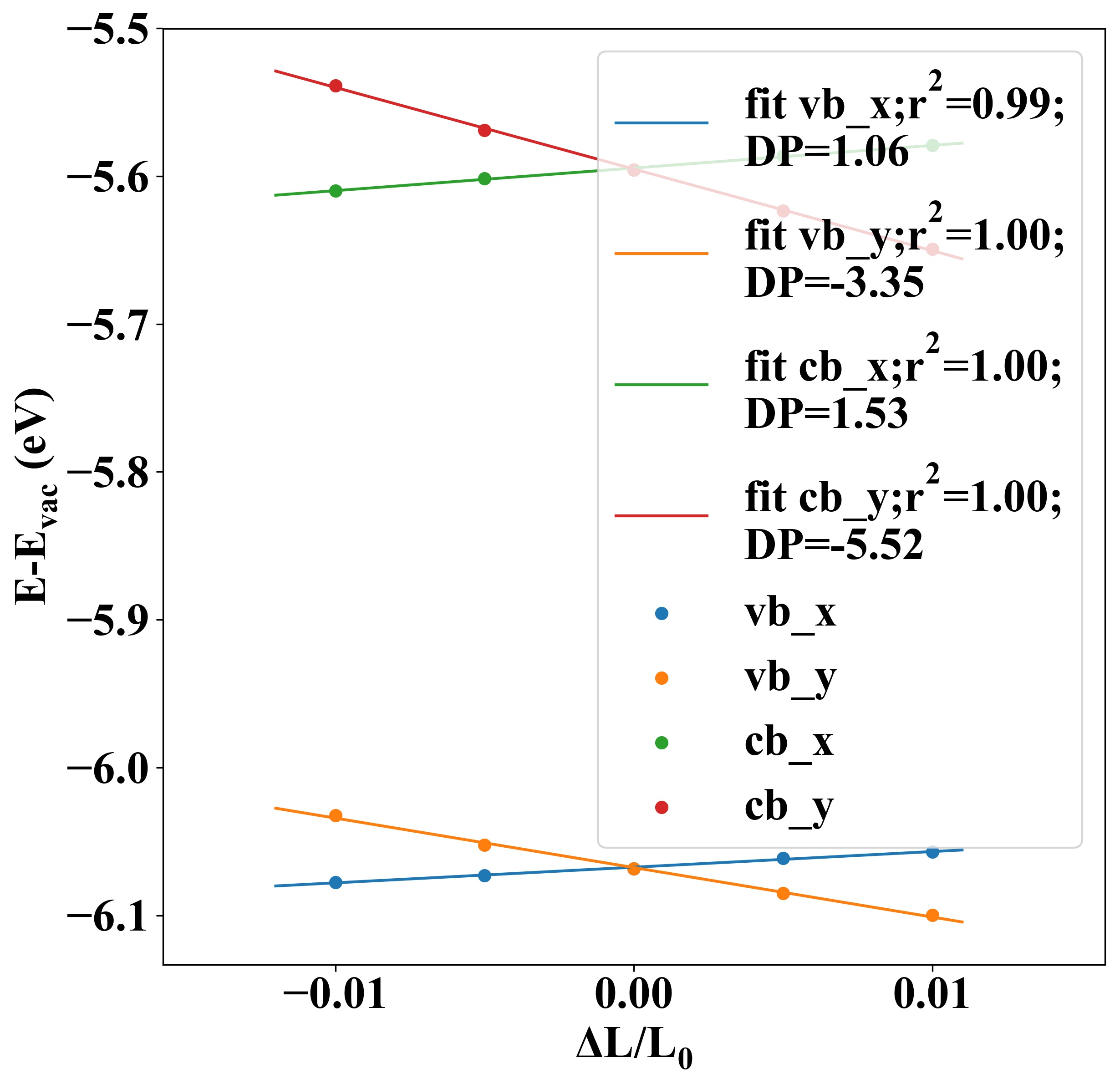
| Phonon mode at Γ point (THz) |
| Carrier type |
C2D (N/m) |
Edef (eV) |
μ (cm2V-1s-1) |
| x |
y |
x |
y |
x |
y |
| hole |
85.57 |
142.32 |
1.06 |
-3.35 |
-147.17 |
-306.47 |
| electron |
1.53 |
-5.52 |
331.41 |
256.73 |
| Property |
Value |
| from where |
c2db-315 |