Br2Pt2Se2
MatHub2d-1258-Br2Pt2Se2
| Property |
Value |
| Space group |
(59, 'Pmmn') |
| Crystal system |
rectangular |
| Magnetic |
No |
| Band gap (PBE) (eV) |
0.01 |
| Free energy (eV) |
-20.535 |
| Free energy / atom (eV) |
-3.423 |
Lattice Parameters (basic)
| a, b, c (Å): | 3.657 | 5.482 | 30.000 |
| α, β, γ (°): | 90.000 | 90.000 | 90.000 |
Lattice Parameters (computed)
| a, b, c (Å): | 3.632 | 5.465 | 30.000 |
| α, β, γ (°): | 90.000 | 90.000 | 90.000 |
| Property |
Value |
| Band gap |
0.01 eV |
| E-fermi |
-2.536 eV |
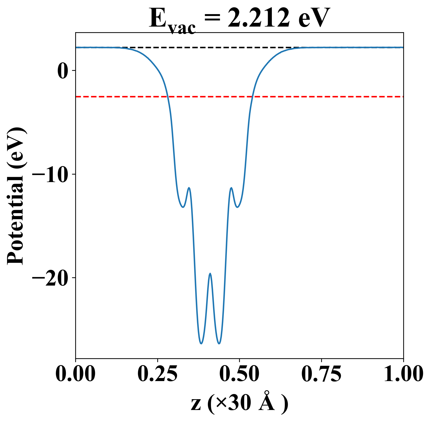
| Vacuum level |
2.212 eV |
| VBM |
-2.538 eV |
| CBM |
-2.524 eV |
| Work function |
4.748 eV |
| Direct gap |
No |
| Property |
Value |
| Band gap |
0.01 eV |
| E-fermi |
-2.536 eV |
| Vacuum level |
2.212 eV |
| VBM |
-2.538 eV |
| CBM |
-2.524 eV |
| Work function |
4.748 eV |
| Cij (N/m) |
xx |
yy |
xy |
| xx |
77.587 |
11.740 |
0.000 |
| yy |
11.740 |
68.124 |
0.000 |
| xy |
0.000 |
0.000 |
10.647 |
| Phonon mode at Γ point (THz) |
| Property |
Value |
| from where |
c2db-304 |