Br2Pt2S2
MatHub2d-1257-Br2Pt2S2
| Property |
Value |
| Space group |
(59, 'Pmmn') |
| Crystal system |
rectangular |
| Magnetic |
No |
| Band gap (PBE) (eV) |
0.00 |
| Free energy (eV) |
-21.493 |
| Free energy / atom (eV) |
-3.582 |
Lattice Parameters (basic)
| a, b, c (Å): | 3.543 | 5.249 | 30.000 |
| α, β, γ (°): | 90.000 | 90.000 | 90.000 |
Lattice Parameters (computed)
| a, b, c (Å): | 3.521 | 5.222 | 30.000 |
| α, β, γ (°): | 90.000 | 90.000 | 90.000 |
| Property |
Value |
| Band gap |
0.00 eV |
| E-fermi |
-2.426 eV |
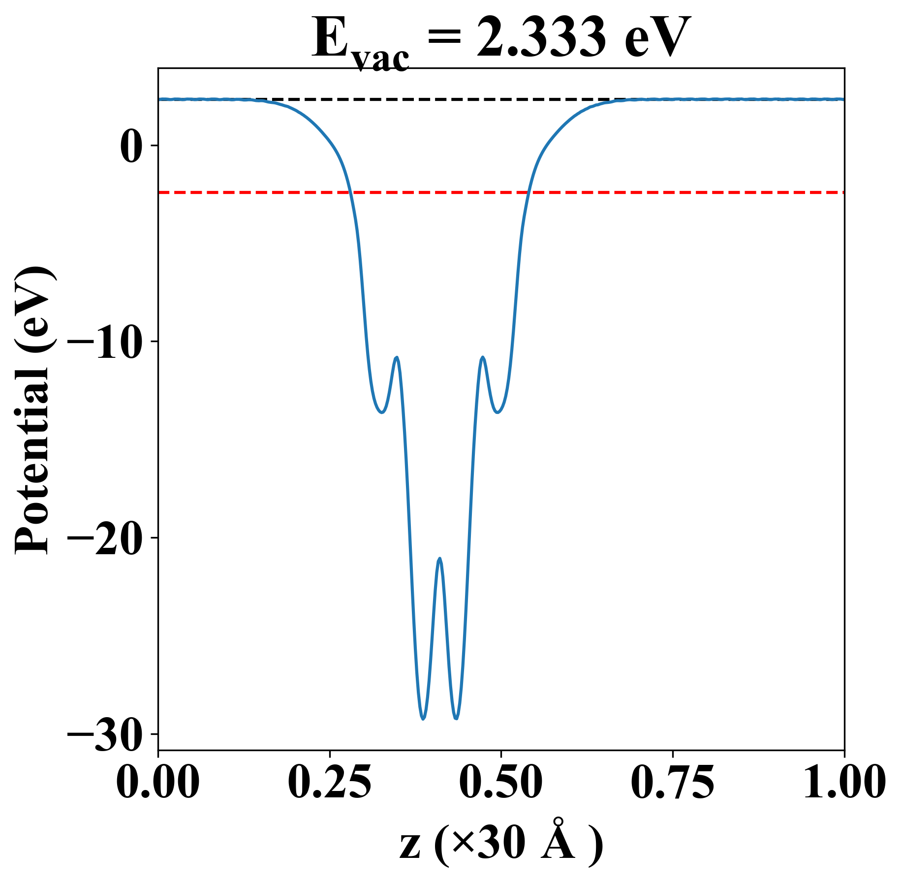
| Vacuum level |
2.333 eV |
| VBM |
-2.434 eV |
| CBM |
-2.411 eV |
| Work function |
4.759 eV |
| Direct gap |
No |
| Property |
Value |
| Band gap |
0.00 eV |
| E-fermi |
-2.426 eV |
| Vacuum level |
2.333 eV |
| VBM |
-2.434 eV |
| CBM |
-2.411 eV |
| Work function |
4.759 eV |
| Cij (N/m) |
xx |
yy |
xy |
| xx |
85.340 |
13.565 |
0.000 |
| yy |
13.565 |
67.071 |
0.000 |
| xy |
0.000 |
0.000 |
12.843 |
| Phonon mode at Γ point (THz) |
| Property |
Value |
| from where |
c2db-303 |