Br2Pd2S2
MatHub2d-1256-Br2Pd2S2
| Property |
Value |
| Space group |
(59, 'Pmmn') |
| Crystal system |
rectangular |
| Magnetic |
No |
| Band gap (PBE) (eV) |
0.00 |
| Free energy (eV) |
-19.735 |
| Free energy / atom (eV) |
-3.289 |
Lattice Parameters (basic)
| a, b, c (Å): | 3.541 | 5.151 | 30.000 |
| α, β, γ (°): | 90.000 | 90.000 | 90.000 |
Lattice Parameters (computed)
| a, b, c (Å): | 3.493 | 5.139 | 30.000 |
| α, β, γ (°): | 90.000 | 90.000 | 90.000 |
| Property |
Value |
| Band gap |
0.00 eV |
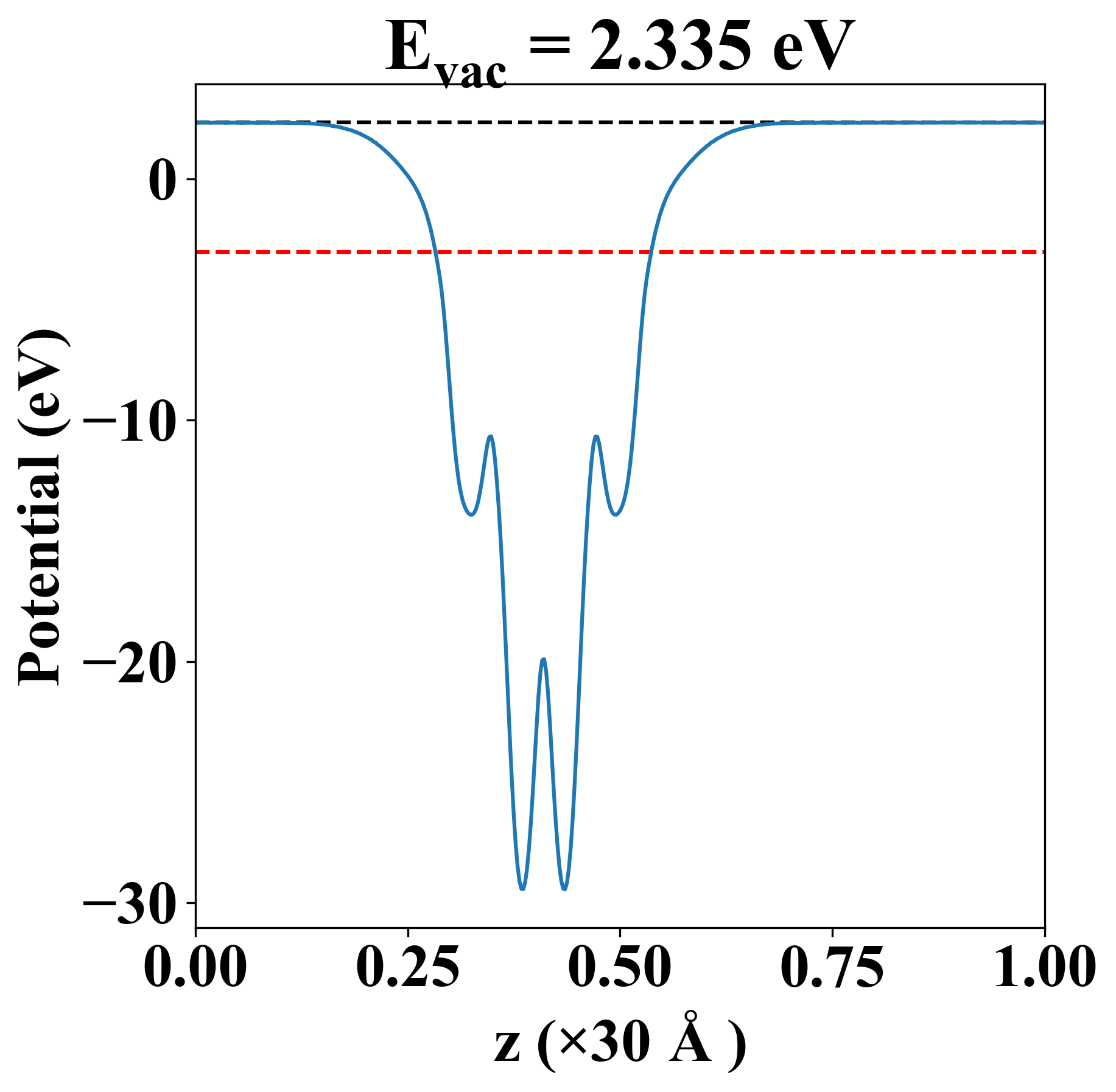
| E-fermi |
-3.019 eV |
| Vacuum level |
2.335 eV |
| VBM |
-3.032 eV |
| CBM |
-3.018 eV |
| Work function |
5.354 eV |
| Direct gap |
No |
| Property |
Value |
| Band gap |
0.00 eV |
| E-fermi |
-3.019 eV |
| Vacuum level |
2.335 eV |
| VBM |
-3.032 eV |
| CBM |
-3.018 eV |
| Work function |
5.354 eV |
| Cij (N/m) |
xx |
yy |
xy |
| xx |
66.628 |
11.738 |
0.000 |
| yy |
11.738 |
65.361 |
0.000 |
| xy |
0.000 |
0.000 |
10.809 |
| Phonon mode at Γ point (THz) |
| Property |
Value |
| from where |
c2db-292 |