Br2Pb2Se2
MatHub2d-1255-Br2Pb2Se2
| Property |
Value |
| Space group |
(59, 'Pmmn') |
| Crystal system |
rectangular |
| Magnetic |
No |
| Band gap (PBE) (eV) |
0.00 |
| Free energy (eV) |
-19.940 |
| Free energy / atom (eV) |
-3.323 |
Lattice Parameters (basic)
| a, b, c (Å): | 4.412 | 4.453 | 30.000 |
| α, β, γ (°): | 90.000 | 90.000 | 90.000 |
Lattice Parameters (computed)
| a, b, c (Å): | 4.419 | 4.441 | 30.000 |
| α, β, γ (°): | 90.000 | 90.000 | 90.000 |
| Property |
Value |
| Band gap |
0.00 eV |
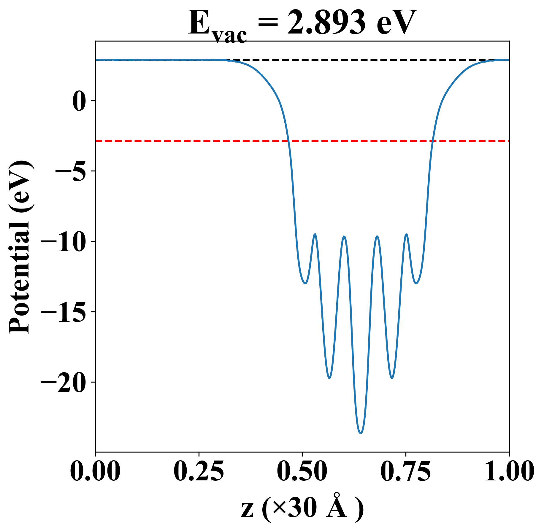
| E-fermi |
-2.855 eV |
| Vacuum level |
2.893 eV |
| VBM |
-2.867 eV |
| CBM |
-2.854 eV |
| Work function |
5.748 eV |
| Direct gap |
No |
| Property |
Value |
| Band gap |
0.00 eV |
| E-fermi |
-2.855 eV |
| Vacuum level |
2.893 eV |
| VBM |
-2.867 eV |
| CBM |
-2.854 eV |
| Work function |
5.748 eV |
| Cij (N/m) |
xx |
yy |
xy |
| xx |
25.879 |
13.734 |
0.000 |
| yy |
13.734 |
31.490 |
0.000 |
| xy |
0.000 |
0.000 |
-11.337 |
| Phonon mode at Γ point (THz) |
| -1.078 |
| -0.870 |
| -0.008 |
| -0.006 |
| -0.002 |
| 0.725 |
| 1.197 |
| 1.553 |
| 1.939 |
| 2.389 |
| 2.737 |
| 2.836 |
| 3.579 |
| 3.710 |
| 3.877 |
| 3.945 |
| 4.409 |
| 4.488 |
| Property |
Value |
| from where |
c2db-289 |