Br2Pb2S2
MatHub2d-1254-Br2Pb2S2
| Property |
Value |
| Space group |
(59, 'Pmmn') |
| Crystal system |
rectangular |
| Magnetic |
No |
| Band gap (PBE) (eV) |
0.00 |
| Free energy (eV) |
-20.758 |
| Free energy / atom (eV) |
-3.460 |
Lattice Parameters (basic)
| a, b, c (Å): | 4.111 | 5.475 | 30.000 |
| α, β, γ (°): | 90.000 | 90.000 | 90.000 |
Lattice Parameters (computed)
| a, b, c (Å): | 4.114 | 5.487 | 30.000 |
| α, β, γ (°): | 90.000 | 90.000 | 90.000 |
| Property |
Value |
| Band gap |
0.00 eV |
| E-fermi |
-4.126 eV |
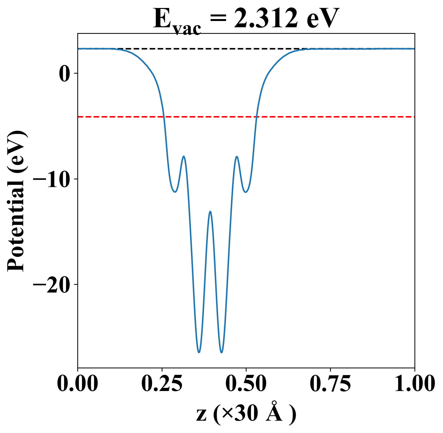
| Vacuum level |
2.312 eV |
| VBM |
-4.128 eV |
| CBM |
-4.125 eV |
| Work function |
6.438 eV |
| Direct gap |
No |
| Property |
Value |
| Band gap |
0.00 eV |
| E-fermi |
-4.126 eV |
| Vacuum level |
2.312 eV |
| VBM |
-4.128 eV |
| CBM |
-4.125 eV |
| Work function |
6.438 eV |
| Cij (N/m) |
xx |
yy |
xy |
| xx |
26.196 |
9.729 |
0.000 |
| yy |
9.729 |
41.563 |
0.000 |
| xy |
0.000 |
0.000 |
7.984 |
| Phonon mode at Γ point (THz) |
| -0.122 |
| -0.008 |
| -0.003 |
| -0.001 |
| 1.062 |
| 1.216 |
| 1.293 |
| 1.672 |
| 2.246 |
| 2.452 |
| 3.763 |
| 3.953 |
| 4.139 |
| 4.288 |
| 5.107 |
| 5.311 |
| 5.382 |
| 7.211 |
| Property |
Value |
| from where |
c2db-280 |