Br2O2Zr2
MatHub2d-1251-Br2O2Zr2
| Property |
Value |
| Space group |
(59, 'Pmmn') |
| Crystal system |
rectangular |
| Magnetic |
No |
| Band gap (PBE) (eV) |
0.01 |
| Free energy (eV) |
-43.723 |
| Free energy / atom (eV) |
-7.287 |
Lattice Parameters (basic)
| a, b, c (Å): | 3.600 | 4.332 | 30.000 |
| α, β, γ (°): | 90.000 | 90.000 | 90.000 |
Lattice Parameters (computed)
| a, b, c (Å): | 3.594 | 4.368 | 30.000 |
| α, β, γ (°): | 90.000 | 90.000 | 90.000 |
| Property |
Value |
| Band gap |
0.01 eV |
| E-fermi |
-1.732 eV |
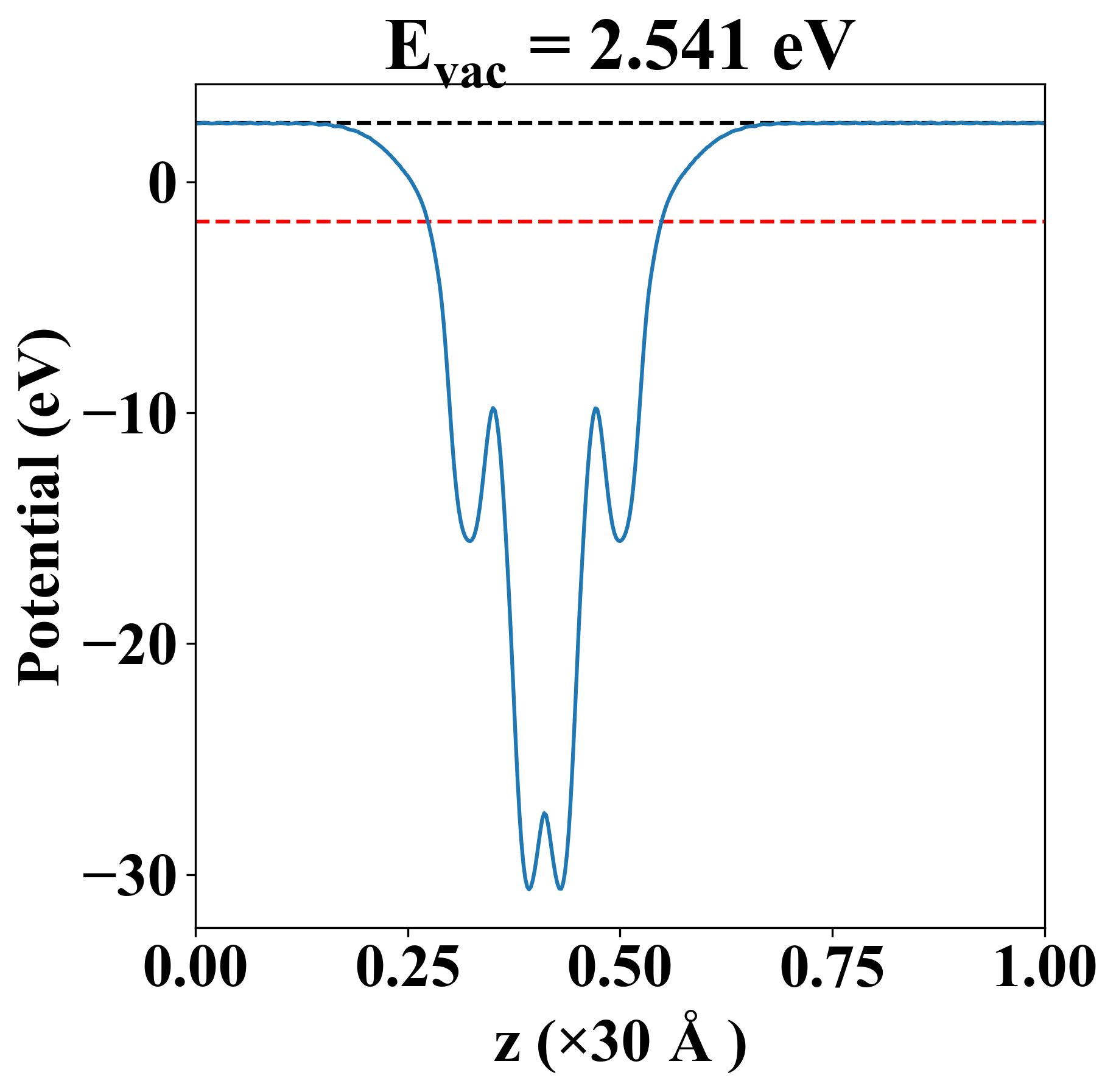
| Vacuum level |
2.541 eV |
| VBM |
-1.736 eV |
| CBM |
-1.730 eV |
| Work function |
4.273 eV |
| Direct gap |
No |
| Property |
Value |
| Band gap |
0.01 eV |
| E-fermi |
-1.732 eV |
| Vacuum level |
2.541 eV |
| VBM |
-1.736 eV |
| CBM |
-1.730 eV |
| Work function |
4.273 eV |
| Cij (N/m) |
xx |
yy |
xy |
| xx |
79.605 |
-21.805 |
0.000 |
| yy |
-21.805 |
115.123 |
0.000 |
| xy |
0.000 |
0.000 |
18.624 |
| Phonon mode at Γ point (THz) |
| Property |
Value |
| from where |
c2db-434 |