Br2O2Tl2
MatHub2d-1248-Br2O2Tl2
| Property |
Value |
| Space group |
(59, 'Pmmn') |
| Crystal system |
rectangular |
| Magnetic |
No |
| Band gap (PBE) (eV) |
0.89 |
| Free energy (eV) |
-21.197 |
| Free energy / atom (eV) |
-3.533 |
Lattice Parameters (basic)
| a, b, c (Å): | 3.823 | 4.249 | 30.000 |
| α, β, γ (°): | 90.000 | 90.000 | 90.000 |
Lattice Parameters (computed)
| a, b, c (Å): | 3.823 | 4.277 | 30.000 |
| α, β, γ (°): | 90.000 | 90.000 | 90.000 |
| Property |
Value |
| Band gap |
0.89 eV |
| E-fermi |
-4.294 eV |
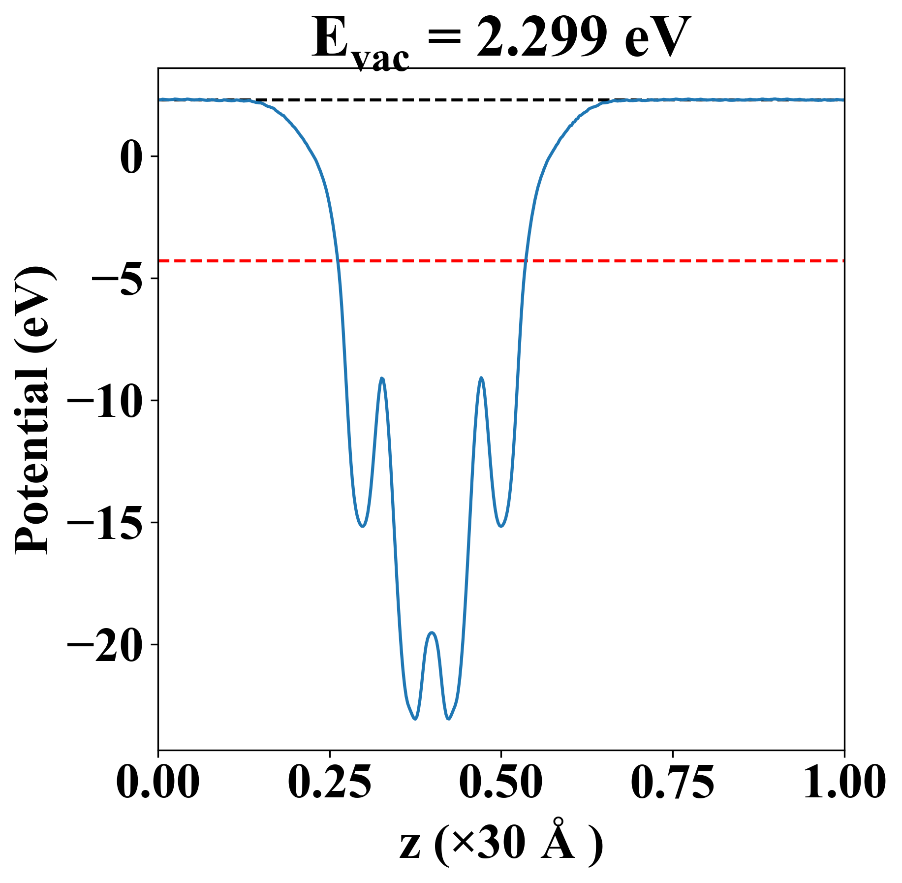
| Vacuum level |
2.299 eV |
| VBM |
-4.595 eV |
| CBM |
-3.702 eV |
| Work function |
6.592 eV |
| Direct gap |
No |
| Property |
Value |
| Band gap |
0.97 eV |
| E-fermi |
-4.428 eV |
| VBM |
-4.670 eV |
| CBM |
-3.704 eV |
| Free energy (eV) |
-21.732 |
| Free energy / atom (eV) |
-3.622 |
| Property |
Value |
| Band gap |
0.89 eV |
| E-fermi |
-4.294 eV |
| Vacuum level |
2.299 eV |
| VBM |
-4.595 eV |
| CBM |
-3.702 eV |
| Work function |
6.592 eV |
| Cij (N/m) |
xx |
yy |
xy |
| xx |
71.601 |
28.827 |
0.000 |
| yy |
28.827 |
48.297 |
0.000 |
| xy |
0.000 |
0.000 |
24.552 |
| Phonon mode at Γ point (THz) |
| Property |
Value |
| from where |
c2db-389 |