Br2O2Ti2
MatHub2d-1247-Br2O2Ti2
| Property |
Value |
| Space group |
(59, 'Pmmn') |
| Crystal system |
rectangular |
| Magnetic |
Yes |
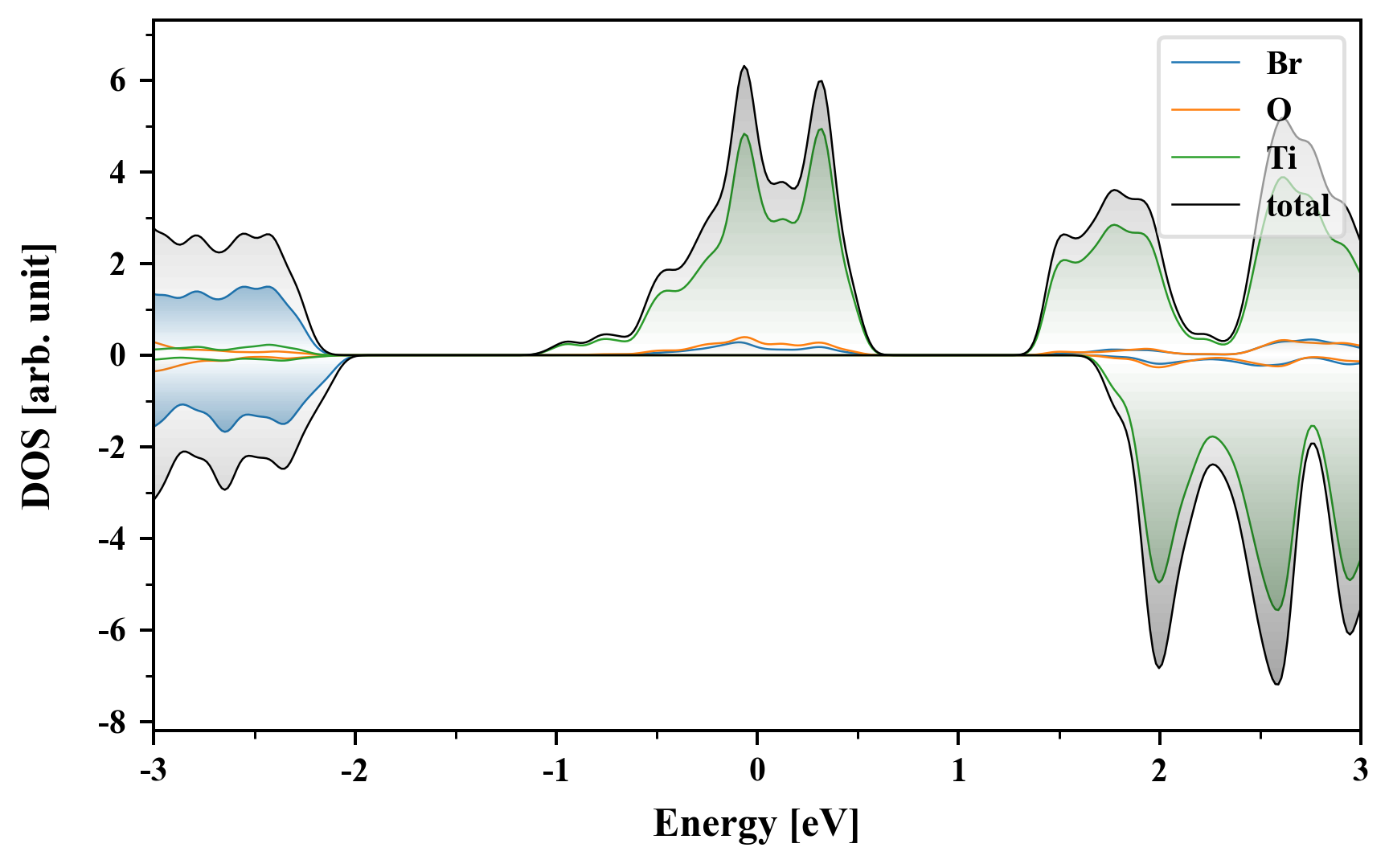
| Band gap (PBE) (eV) |
0.00 |
| Free energy (eV) |
-35.953 |
| Free energy / atom (eV) |
-5.992 |
Lattice Parameters (basic)
| a, b, c (Å): | 3.378 | 4.043 | 30.000 |
| α, β, γ (°): | 90.000 | 90.000 | 90.000 |
Lattice Parameters (computed)
| a, b, c (Å): | 3.480 | 3.963 | 30.000 |
| α, β, γ (°): | 90.000 | 90.000 | 90.000 |
| Property |
Value |
| Band gap |
0.00 eV |
| E-fermi |
-2.468 eV |
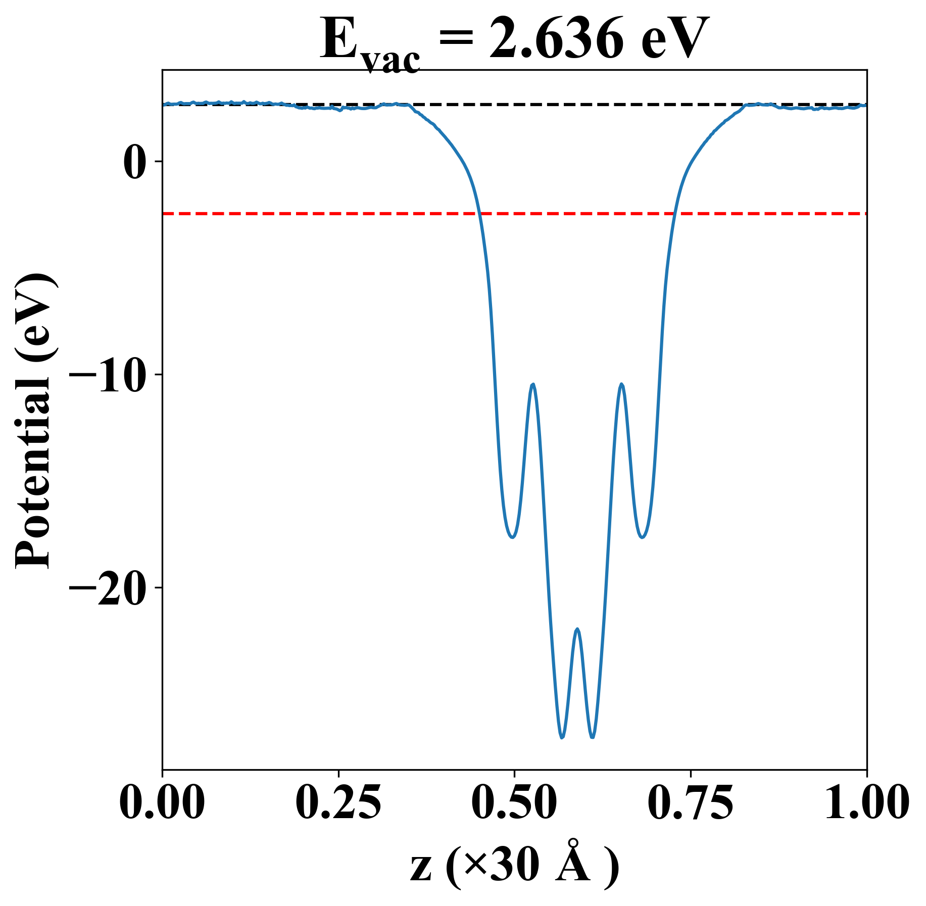
| Vacuum level |
2.636 eV |
| VBM |
-2.468 eV |
| CBM |
-2.467 eV |
| Work function |
5.103 eV |
| Direct gap |
No |
| Property |
Value |
| Band gap |
0.00 eV |
| E-fermi |
-2.468 eV |
| Vacuum level |
2.636 eV |
| VBM |
-2.468 eV |
| CBM |
-2.467 eV |
| Work function |
5.103 eV |
| Cij (N/m) |
xx |
yy |
xy |
| xx |
56.101 |
-1.825 |
0.000 |
| yy |
-1.825 |
-33.309 |
0.000 |
| xy |
0.000 |
0.000 |
25.288 |
| Phonon mode at Γ point (THz) |
| Property |
Value |
| from where |
JVASP-27890 |