Br2O2Sn2
MatHub2d-1245-Br2O2Sn2
| Property |
Value |
| Space group |
(59, 'Pmmn') |
| Crystal system |
rectangular |
| Magnetic |
No |
| Band gap (PBE) (eV) |
0.00 |
| Free energy (eV) |
-27.067 |
| Free energy / atom (eV) |
-4.511 |
Lattice Parameters (basic)
| a, b, c (Å): | 3.734 | 4.175 | 30.000 |
| α, β, γ (°): | 90.000 | 90.000 | 90.000 |
Lattice Parameters (computed)
| a, b, c (Å): | 3.674 | 4.139 | 30.000 |
| α, β, γ (°): | 90.000 | 90.000 | 90.000 |
| Property |
Value |
| Band gap |
0.00 eV |
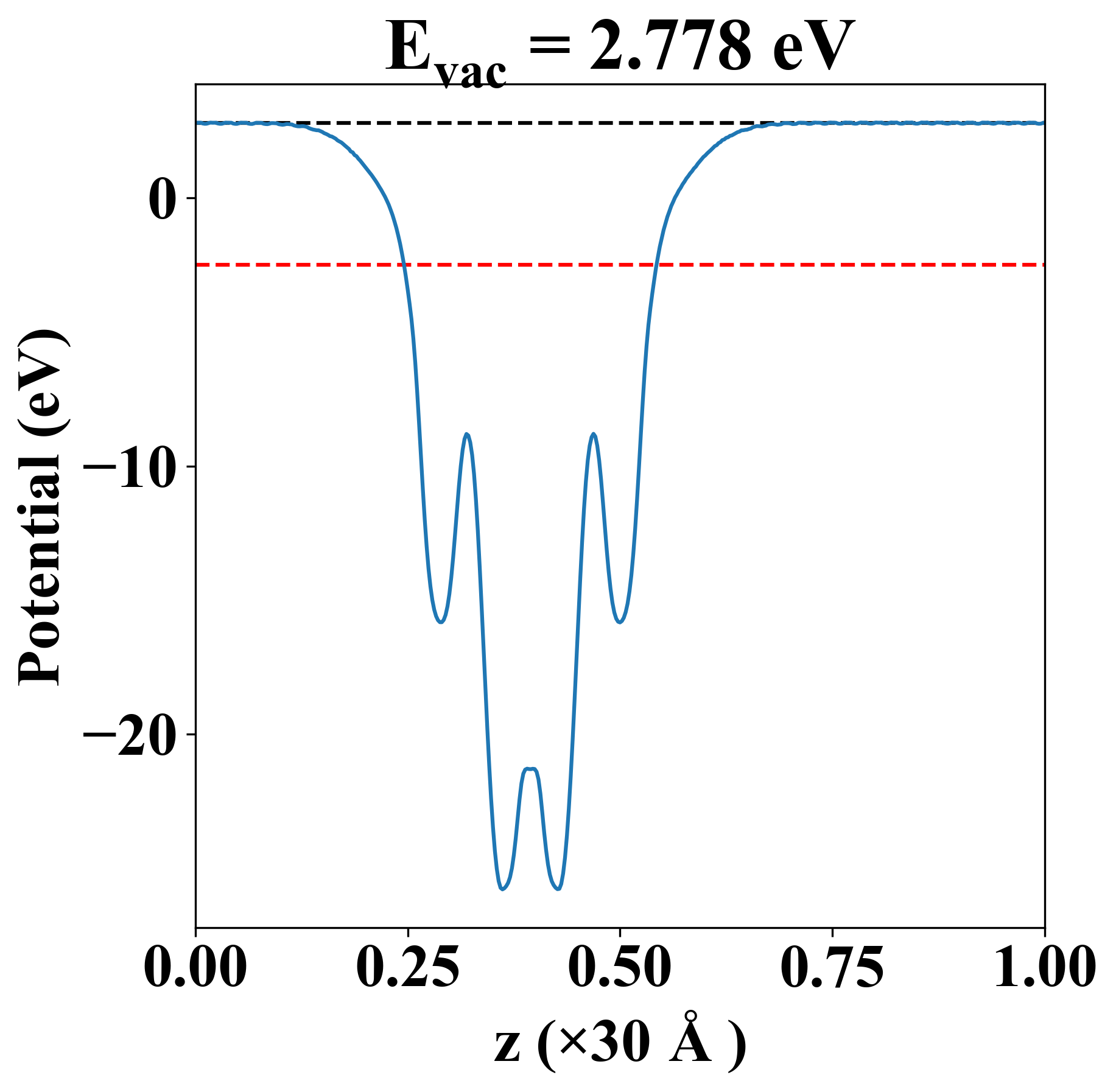
| E-fermi |
-2.501 eV |
| Vacuum level |
2.778 eV |
| VBM |
-2.501 eV |
| CBM |
-2.500 eV |
| Work function |
5.280 eV |
| Direct gap |
No |
| Property |
Value |
| Band gap |
0.00 eV |
| E-fermi |
-2.501 eV |
| Vacuum level |
2.778 eV |
| VBM |
-2.501 eV |
| CBM |
-2.500 eV |
| Work function |
5.280 eV |
| Cij (N/m) |
xx |
yy |
xy |
| xx |
53.000 |
2.801 |
0.000 |
| yy |
2.801 |
39.378 |
0.000 |
| xy |
0.000 |
0.000 |
18.055 |
| Phonon mode at Γ point (THz) |
| -1.039 |
| -0.231 |
| -0.007 |
| 0.064 |
| 0.097 |
| 0.329 |
| 1.941 |
| 2.821 |
| 2.932 |
| 3.224 |
| 3.712 |
| 6.028 |
| 6.413 |
| 6.701 |
| 7.922 |
| 8.679 |
| 9.101 |
| 13.000 |
| Property |
Value |
| from where |
c2db-353 |