Br2O2Sc2
MatHub2d-1244-Br2O2Sc2
| Property |
Value |
| Space group |
(59, 'Pmmn') |
| Crystal system |
rectangular |
| Magnetic |
No |
| Band gap (PBE) (eV) |
3.82 |
| Free energy (eV) |
-40.063 |
| Free energy / atom (eV) |
-6.677 |
Lattice Parameters (basic)
| a, b, c (Å): | 3.559 | 3.962 | 30.000 |
| α, β, γ (°): | 90.000 | 90.000 | 90.000 |
Lattice Parameters (computed)
| a, b, c (Å): | 3.615 | 4.055 | 30.000 |
| α, β, γ (°): | 90.000 | 90.000 | 90.000 |
| Property |
Value |
| Band gap |
3.82 eV |
| E-fermi |
-4.641 eV |
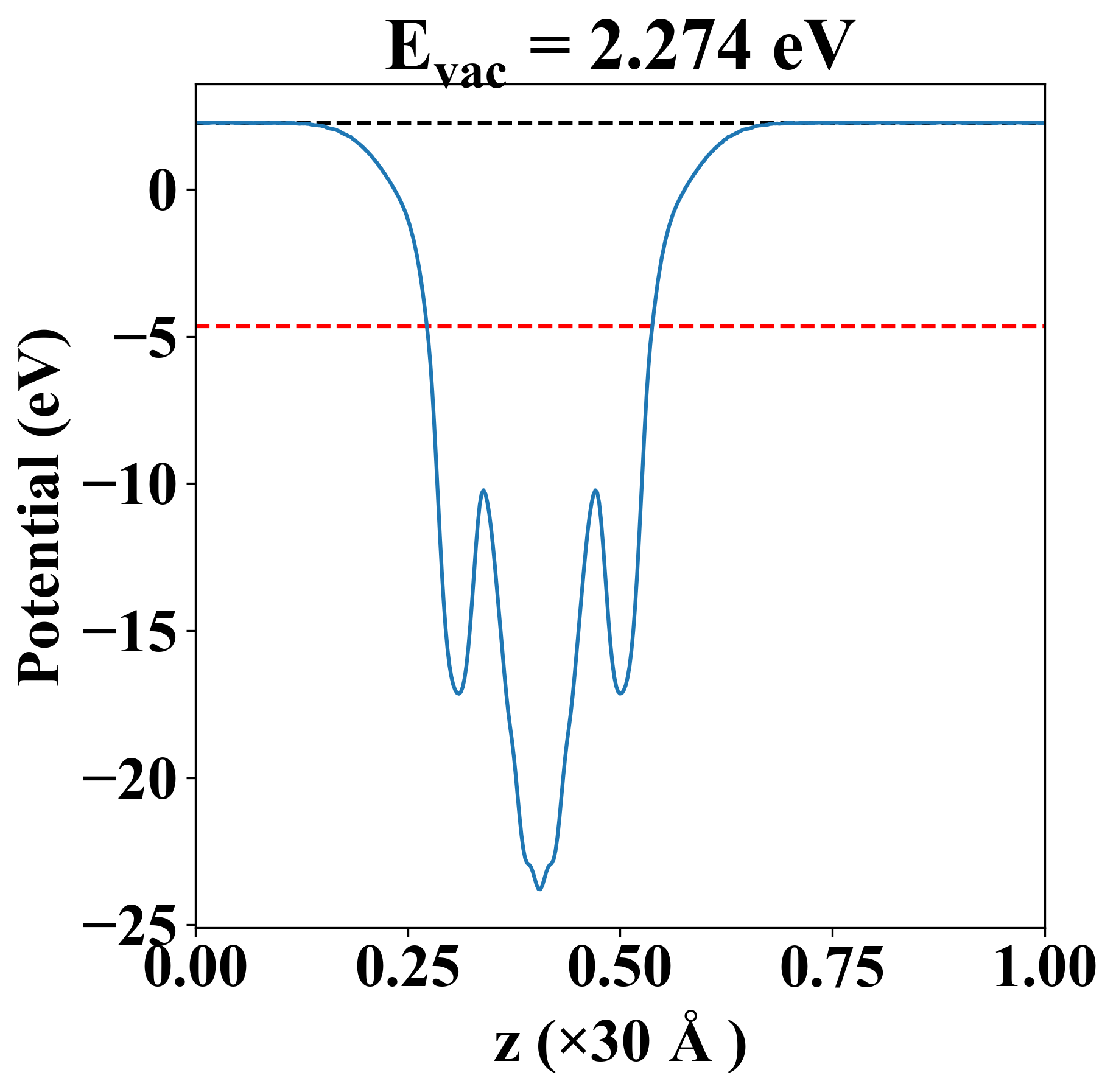
| Vacuum level |
2.274 eV |
| VBM |
-4.981 eV |
| CBM |
-1.166 eV |
| Work function |
6.915 eV |
| Direct gap |
No |
| Property |
Value |
| Band gap |
3.80 eV |
| E-fermi |
-4.645 eV |
| VBM |
-4.967 eV |
| CBM |
-1.166 eV |
| Free energy (eV) |
-40.122 |
| Free energy / atom (eV) |
-6.687 |
| Property |
Value |
| Band gap |
3.82 eV |
| E-fermi |
-4.641 eV |
| Vacuum level |
2.274 eV |
| VBM |
-4.981 eV |
| CBM |
-1.166 eV |
| Work function |
6.915 eV |
| Cij (N/m) |
xx |
yy |
xy |
| xx |
106.571 |
30.456 |
0.000 |
| yy |
30.456 |
90.510 |
0.000 |
| xy |
0.000 |
0.000 |
44.617 |
| Phonon mode at Γ point (THz) |
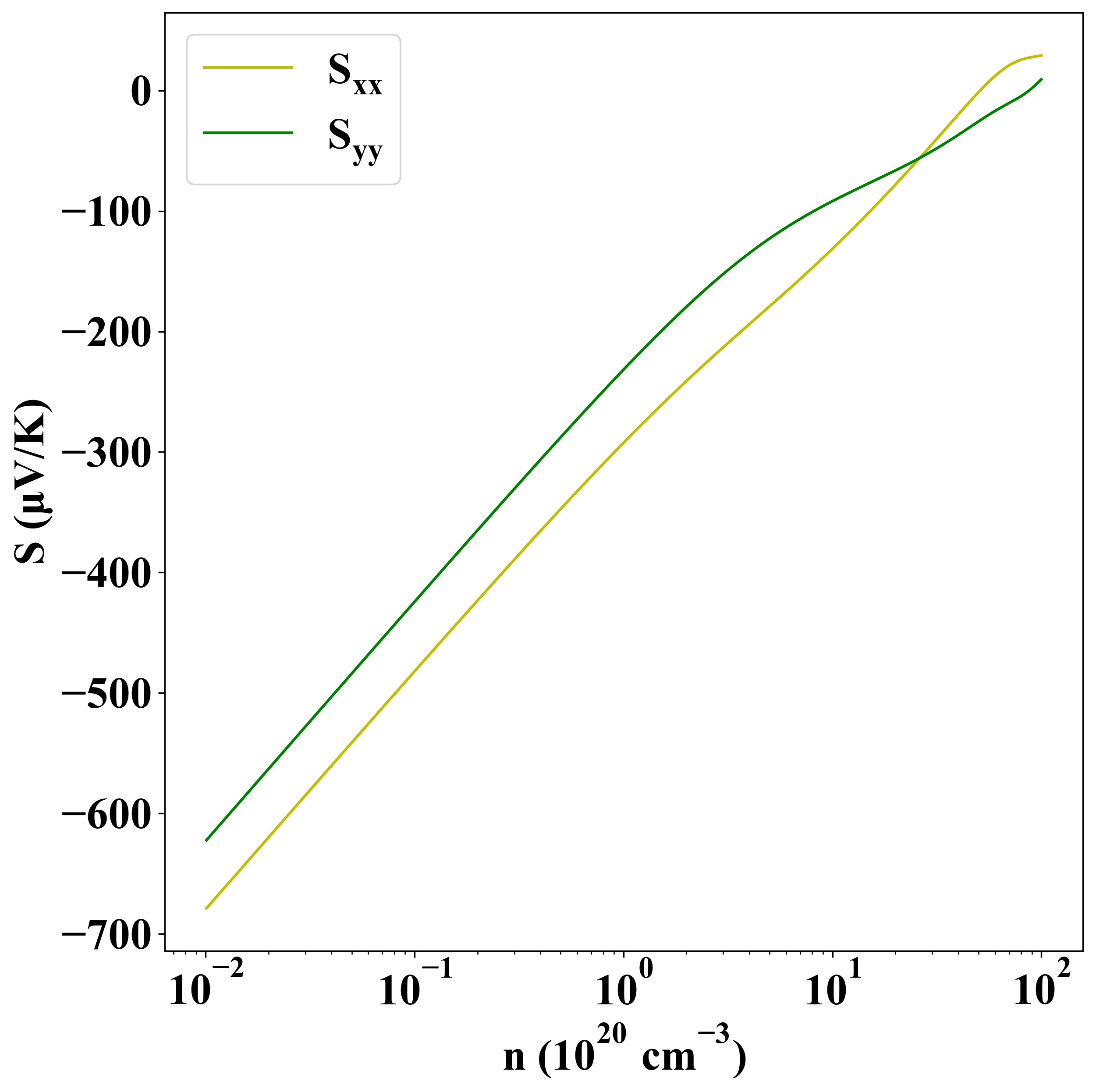
| Carrier type |
C2D (N/m) |
Edef (eV) |
μ (cm2V-1s-1) |
| x |
y |
x |
y |
x |
y |
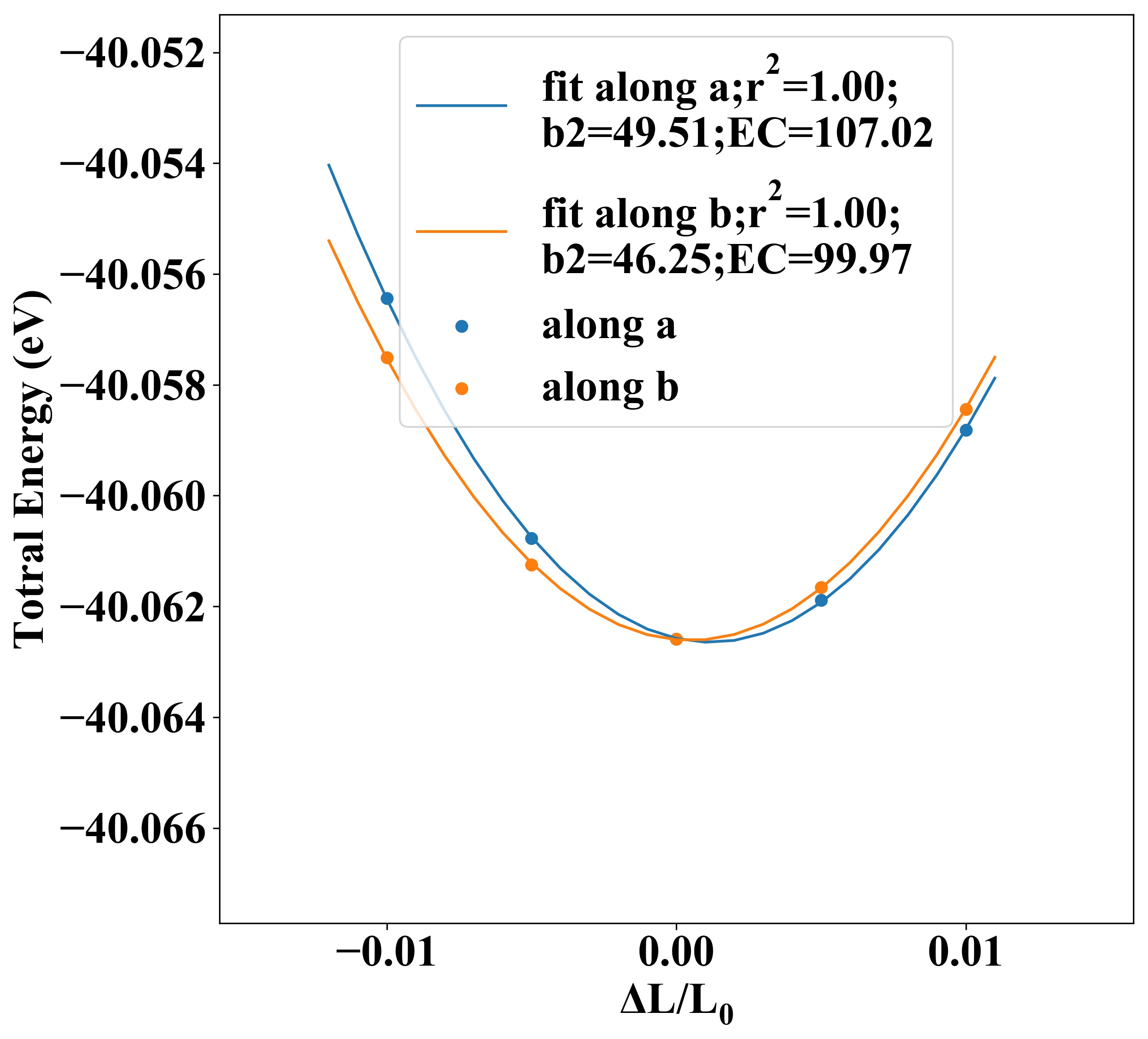
| hole |
107.02 |
99.97 |
-1.89 |
-4.77 |
-45.45 |
-27.40 |
| electron |
-7.34 |
-8.08 |
2.94 |
3.12 |
| Property |
Value |
| from where |
JVASP-27759 |