Br2O2Ru2
MatHub2d-1243-Br2O2Ru2
| Property |
Value |
| Space group |
(59, 'Pmmn') |
| Crystal system |
rectangular |
| Magnetic |
Yes |
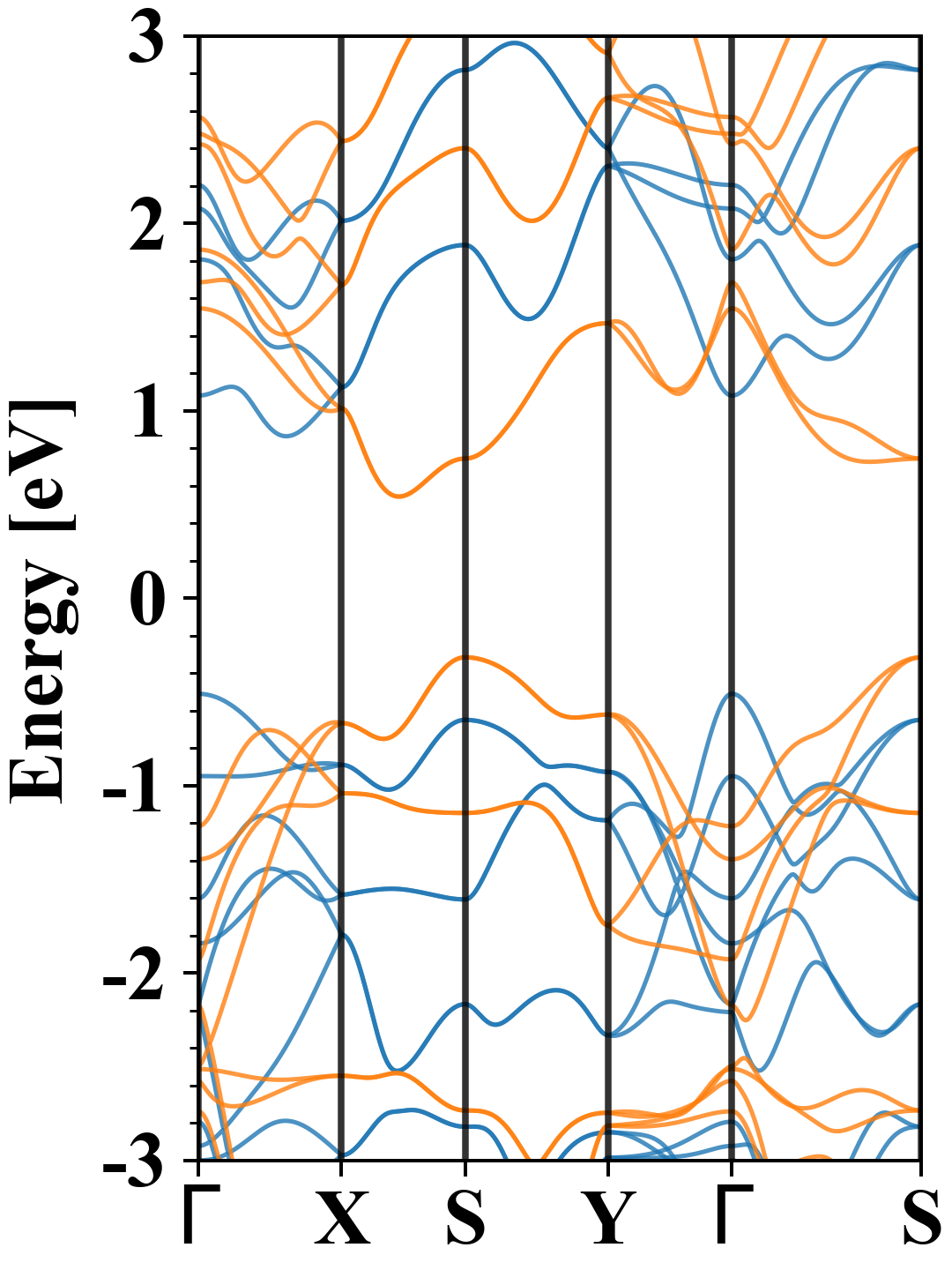
| Band gap (PBE) (eV) |
0.86 |
| Free energy (eV) |
-28.946 |
| Free energy / atom (eV) |
-4.824 |
Lattice Parameters (basic)
| a, b, c (Å): | 3.538 | 3.801 | 30.000 |
| α, β, γ (°): | 90.000 | 90.000 | 90.000 |
Lattice Parameters (computed)
| a, b, c (Å): | 3.464 | 4.020 | 30.000 |
| α, β, γ (°): | 90.000 | 90.000 | 90.000 |
| Property |
Value |
| Band gap |
0.86 eV |
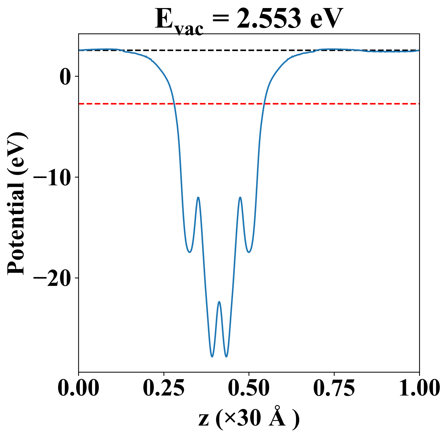
| E-fermi |
-2.739 eV |
| Vacuum level |
2.553 eV |
| VBM |
-3.054 eV |
| CBM |
-2.197 eV |
| Work function |
5.291 eV |
| Direct gap |
No |
| Property |
Value |
| Band gap |
0.91 eV |
| E-fermi |
-2.847 eV |
| VBM |
-3.115 eV |
| CBM |
-2.201 eV |
| Free energy (eV) |
-29.338 |
| Free energy / atom (eV) |
-4.890 |
| Property |
Value |
| Band gap |
0.86 eV |
| E-fermi |
-2.739 eV |
| Vacuum level |
2.553 eV |
| VBM |
-3.054 eV |
| CBM |
-2.197 eV |
| Work function |
5.291 eV |
| Cij (N/m) |
xx |
yy |
xy |
| xx |
80.894 |
29.933 |
0.000 |
| yy |
29.933 |
112.171 |
0.000 |
| xy |
0.000 |
0.000 |
-11.598 |
| Phonon mode at Γ point (THz) |
| Property |
Value |
| from where |
c2db-326 |