Br2O2Rh2
MatHub2d-1242-Br2O2Rh2
| Property |
Value |
| Space group |
(59, 'Pmmn') |
| Crystal system |
rectangular |
| Magnetic |
No |
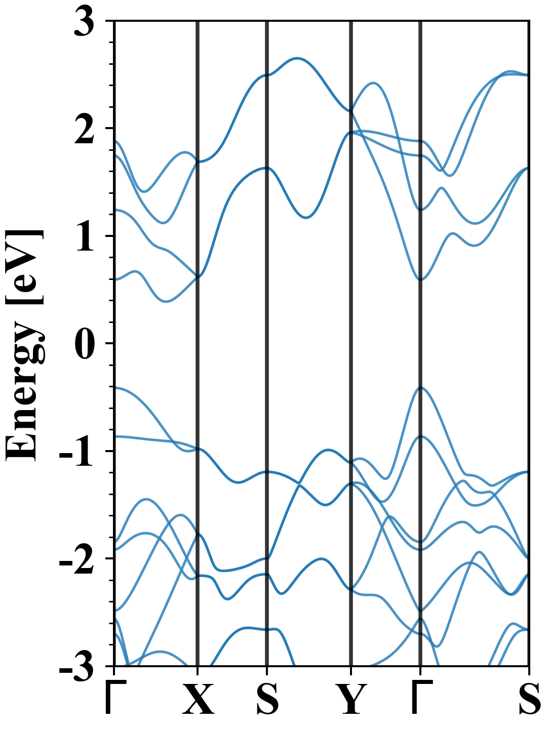
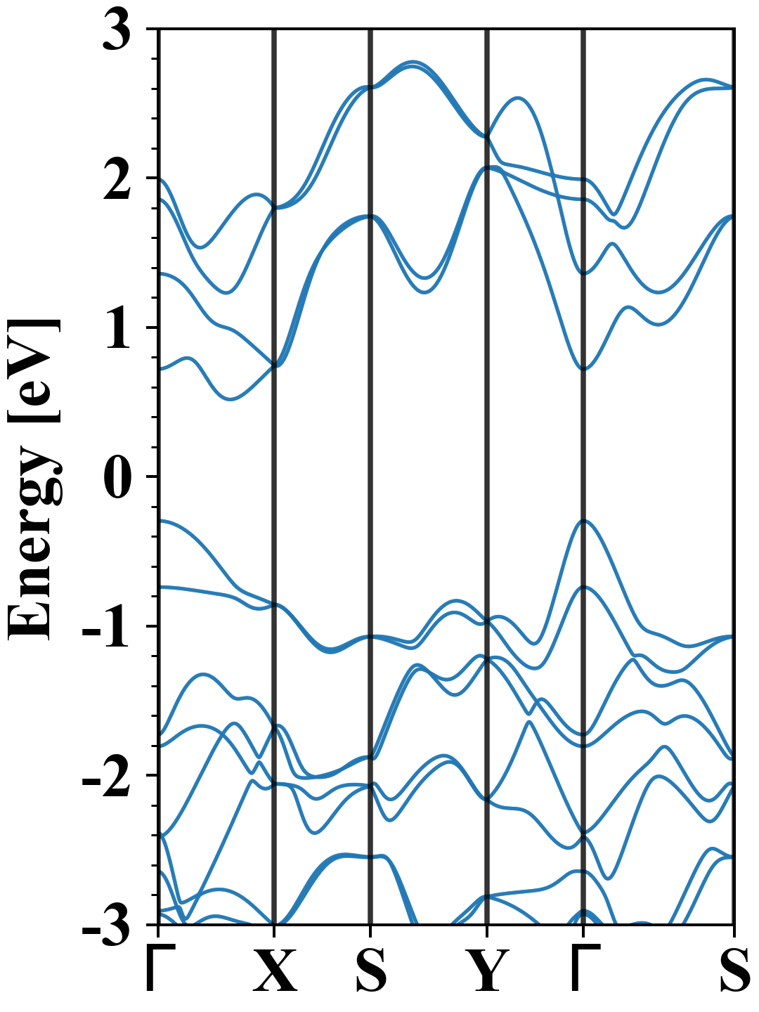
| Band gap (PBE) (eV) |
0.80 |
| Free energy (eV) |
-25.633 |
| Free energy / atom (eV) |
-4.272 |
Lattice Parameters (basic)
| a, b, c (Å): | 3.391 | 4.046 | 30.000 |
| α, β, γ (°): | 90.000 | 90.000 | 90.000 |
Lattice Parameters (computed)
| a, b, c (Å): | 3.347 | 4.046 | 30.000 |
| α, β, γ (°): | 90.000 | 90.000 | 90.000 |
| Property |
Value |
| Band gap |
0.80 eV |
| E-fermi |
-2.782 eV |
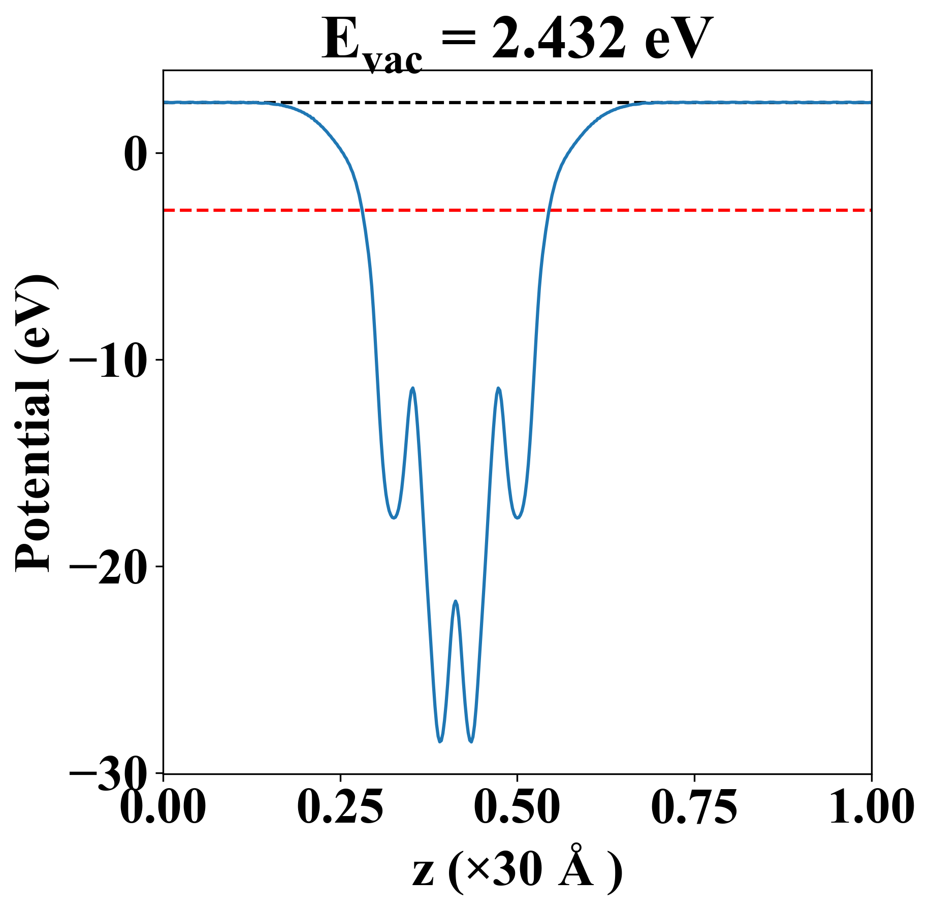
| Vacuum level |
2.432 eV |
| VBM |
-3.195 eV |
| CBM |
-2.395 eV |
| Work function |
5.214 eV |
| Direct gap |
No |
| Property |
Value |
| Band gap |
0.81 eV |
| E-fermi |
-2.901 eV |
| VBM |
-3.197 eV |
| CBM |
-2.385 eV |
| Free energy (eV) |
-26.032 |
| Free energy / atom (eV) |
-4.339 |
| Property |
Value |
| Band gap |
0.80 eV |
| E-fermi |
-2.782 eV |
| Vacuum level |
2.432 eV |
| VBM |
-3.195 eV |
| CBM |
-2.395 eV |
| Work function |
5.214 eV |
| Cij (N/m) |
xx |
yy |
xy |
| xx |
75.831 |
11.010 |
0.000 |
| yy |
11.010 |
189.105 |
0.000 |
| xy |
0.000 |
0.000 |
19.639 |
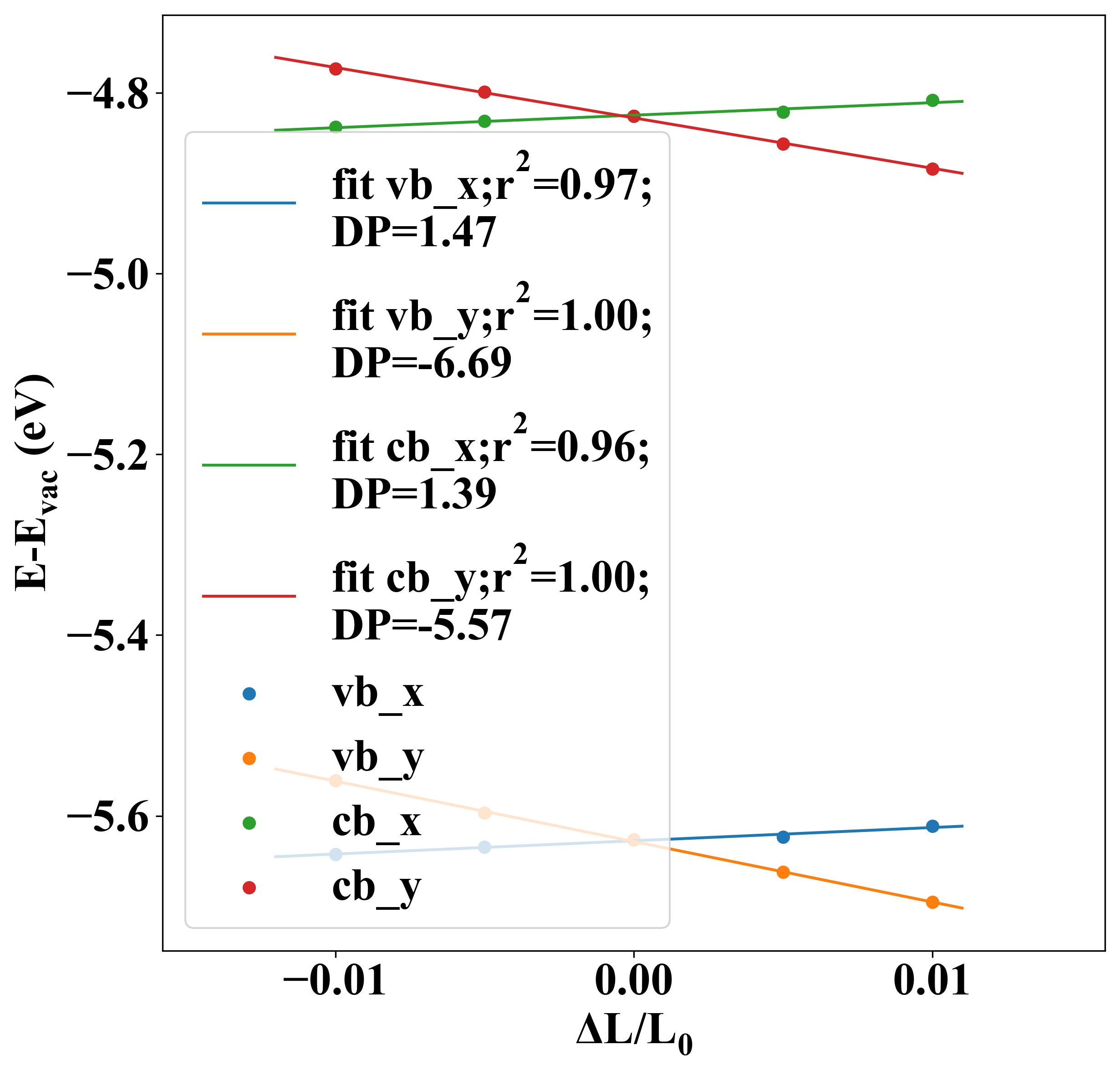
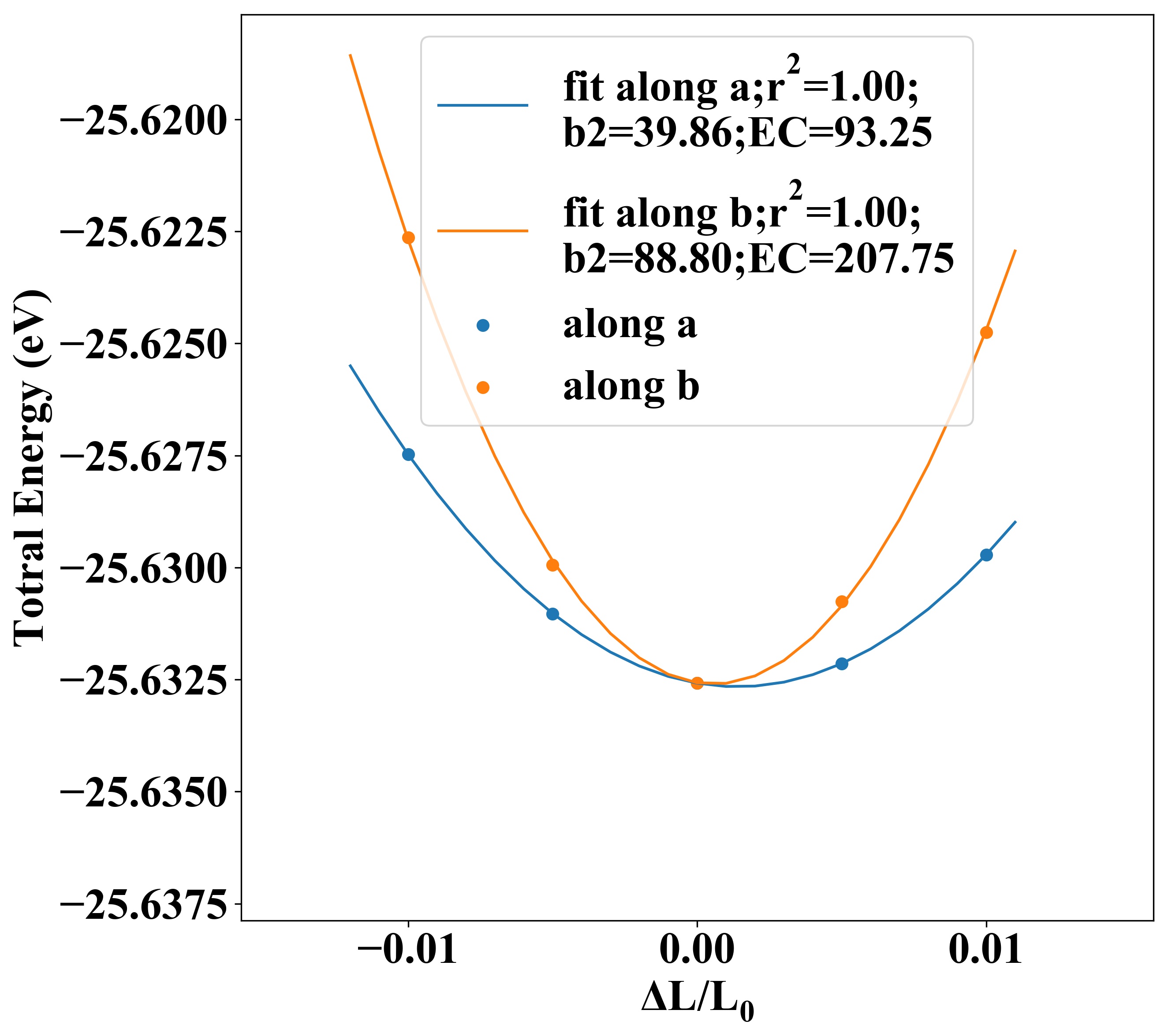
| Phonon mode at Γ point (THz) |
| Carrier type |
C2D (N/m) |
Edef (eV) |
μ (cm2V-1s-1) |
| x |
y |
x |
y |
x |
y |
| hole |
93.25 |
207.75 |
1.47 |
-6.69 |
-45.38 |
-91.61 |
| electron |
1.39 |
-5.57 |
439.48 |
95.18 |
| Property |
Value |
| from where |
c2db-314 |