Br2O2Os2
MatHub2d-1238-Br2O2Os2
| Property |
Value |
| Space group |
(59, 'Pmmn') |
| Crystal system |
rectangular |
| Magnetic |
Yes |
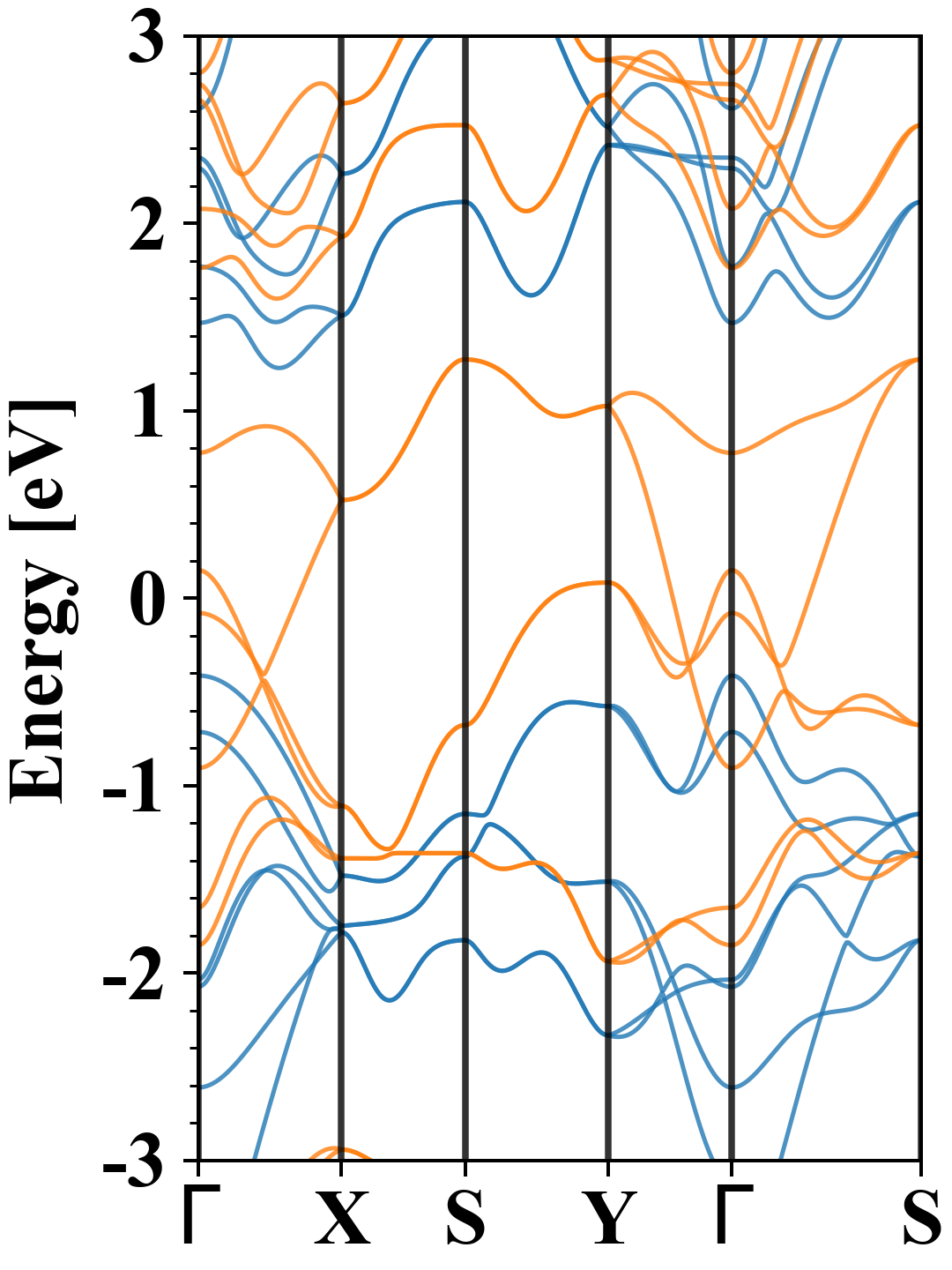
| Band gap (PBE) (eV) |
0.00 |
| Free energy (eV) |
-31.320 |
| Free energy / atom (eV) |
-5.220 |
Lattice Parameters (basic)
| a, b, c (Å): | 3.570 | 4.011 | 30.000 |
| α, β, γ (°): | 90.000 | 90.000 | 90.000 |
Lattice Parameters (computed)
| a, b, c (Å): | 3.516 | 4.084 | 30.000 |
| α, β, γ (°): | 90.000 | 90.000 | 90.000 |
| Property |
Value |
| Band gap |
0.00 eV |
| E-fermi |
-2.413 eV |
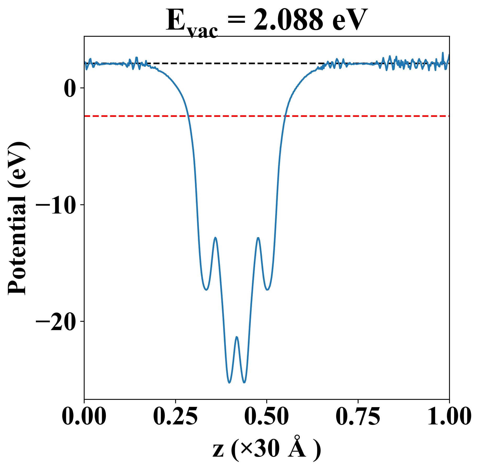
| Vacuum level |
2.088 eV |
| VBM |
-2.415 eV |
| CBM |
-2.413 eV |
| Work function |
4.502 eV |
| Direct gap |
No |
| Property |
Value |
| Band gap |
0.00 eV |
| E-fermi |
-2.413 eV |
| Vacuum level |
2.088 eV |
| VBM |
-2.415 eV |
| CBM |
-2.413 eV |
| Work function |
4.502 eV |
| Cij (N/m) |
xx |
yy |
xy |
| xx |
92.847 |
27.100 |
0.000 |
| yy |
27.100 |
186.928 |
0.000 |
| xy |
0.000 |
0.000 |
-33.073 |
| Phonon mode at Γ point (THz) |
| Property |
Value |
| from where |
c2db-265 |