Br2Nb2Se2
MatHub2d-1234-Br2Nb2Se2
| Property |
Value |
| Space group |
(59, 'Pmmn') |
| Crystal system |
rectangular |
| Magnetic |
|
| Band gap (PBE) (eV) |
0.00 |
| Free energy (eV) |
-32.044 |
| Free energy / atom (eV) |
-5.341 |
Lattice Parameters (basic)
| a, b, c (Å): | 3.503 | 5.030 | 30.000 |
| α, β, γ (°): | 90.000 | 90.000 | 90.000 |
Lattice Parameters (computed)
| a, b, c (Å): | 3.525 | 5.051 | 30.000 |
| α, β, γ (°): | 90.000 | 90.000 | 90.000 |
| Property |
Value |
| Band gap |
0.00 eV |
| E-fermi |
-2.115 eV |
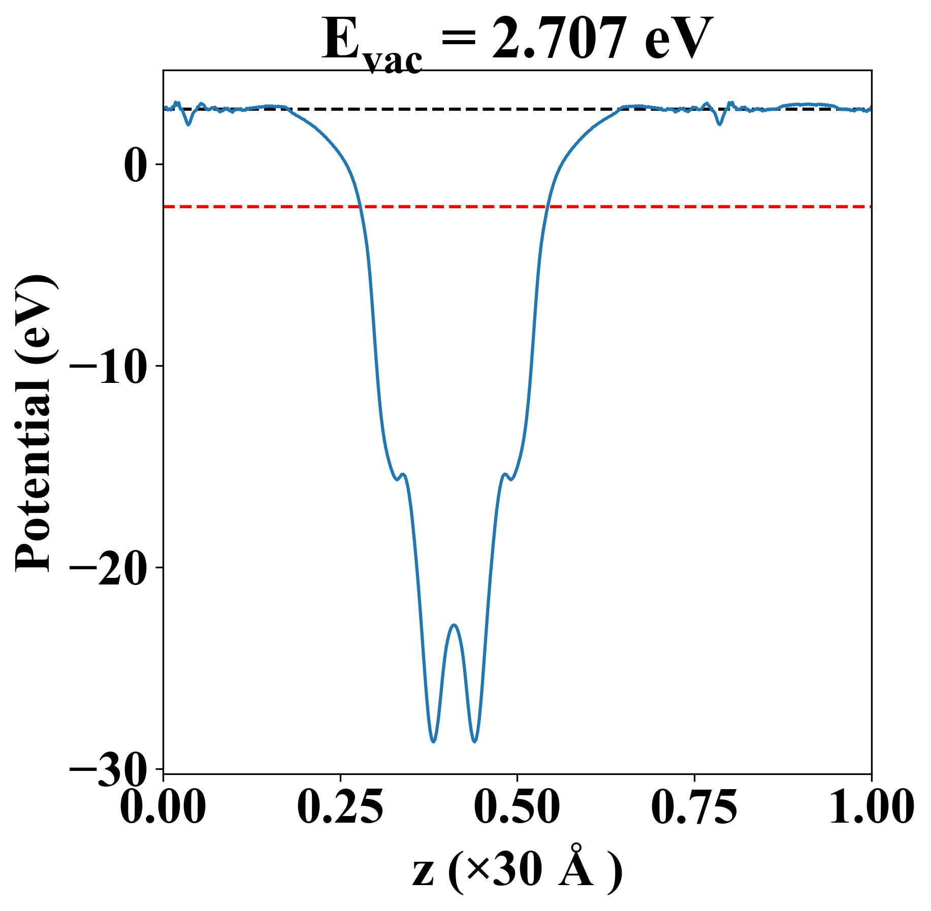
| Vacuum level |
2.707 eV |
| VBM |
-2.117 eV |
| CBM |
-2.114 eV |
| Work function |
4.822 eV |
| Direct gap |
Yes |
| Property |
Value |
| Band gap |
0.00 eV |
| E-fermi |
-2.115 eV |
| Vacuum level |
2.707 eV |
| VBM |
-2.117 eV |
| CBM |
-2.114 eV |
| Work function |
4.822 eV |
| Cij (N/m) |
xx |
yy |
xy |
| xx |
71.873 |
8.276 |
0.000 |
| yy |
8.276 |
151.361 |
0.000 |
| xy |
0.000 |
0.000 |
26.968 |
| Phonon mode at Γ point (THz) |
| Property |
Value |
| from where |
c2db-240 |